精英家教网 > 高中数学 > 题目详情

已知斜三棱柱ABC-A1B1C1,∠BCA=90°,AC=BC=2,A1在底面ABC上的射影恰为AC的中点D,又BA1⊥AC1
(1)求证:AC1⊥平面A1BC;
(2)求C1到平面A1AB的距离;
(3)求二面角A-A1B-C的余弦值。

解:(1)∵A1在底面ABC上的射影为AC的中点D,
∴平面A1ACC1⊥平面ABC,
∵BC⊥AC且平面A1ACC1∩平面ABC=AC,
∴BC⊥平面A1ACC1
∴BC⊥AC1
∵AC1⊥BA1且BC∩BA1=B,
∴AC1⊥平面A1BC。
(2)如图所示,以C为坐标原点建立空间直角坐标系,
∵AC1⊥平面A1BC,
∴AC1⊥A1C,
∴四边形A1ACC1是菱形,
∵D是AC的中点,
∴∠A1AD=60°,
∴A(2,0,0),A1(1,0,),B(0,2,0), C1(-1,0,),
=(1,0,),=(-2,2,0),
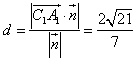
设平面A1AB的法向量=(x,y,z),

令z=1,
=(,1),
=(2,0,0),

∴C1到平面A1AB的距离是
(3)平面A1AB的法向量=(,1),平面A1BC的法向量=(-3,0,),

设二面角A-A1B-C的平面角为θ,θ为锐角,

∴二面角A-A1B-C的余弦值为
练习册系列答案
相关习题

科目:高中数学 来源: 题型:

精英家教网已知斜三棱柱ABC-A1B1C1的侧面BB1C1C是边长为2的菱形,∠B1BC=60°,侧面BB1C1C⊥底面ABC,∠ABC=90°,二面角A-B1B-C为30°.
(1)求证:AC⊥平面BB1C1C;
(2)求AB1与平面BB1C1C所成角的正切值.

查看答案和解析>>

科目:高中数学 来源: 题型:

精英家教网已知斜三棱柱ABC-A1B1C1的侧面BB1C1C与底面ABC垂直,BB1=BC,∠B1BC=60°,AB=AC,M是B1C1的中点.
(Ⅰ)求证:AB1∥平面A1CM;
(Ⅱ)若AB1与平面BB1C1C所成的角为45°,求二面角B-AC-B1的大小.

查看答案和解析>>

科目:高中数学 来源: 题型:

已知斜三棱柱ABC-A1B1C1的底面边长AB=2,BC=3,BC⊥面ABC1,CC1与面ABC所成的角为60°则斜三棱柱ABC-A1B1C1体积的最小值是
9
3
9
3

查看答案和解析>>

科目:高中数学 来源: 题型:

如图所示,已知斜三棱柱ABC-A1B1C1的各棱长均为2,侧棱与底面所成角为
π3
,且侧面ABB1A1垂直于底面.
(1)判断B1C与C1A是否垂直,并证明你的结论;
(2)求四棱锥B-ACC1A1的体积.

查看答案和解析>>

科目:高中数学 来源: 题型:

精英家教网已知斜三棱柱ABC-A1B1C1中,∠ACB=90°,AC=BC=2,点D为AC的中点,A1D⊥平面ABC,A1B⊥ACl
(I)求证:AC1⊥AlC; 
(Ⅱ)求二面角A-A1B-C的余弦值.

查看答案和解析>>

同步练习册答案