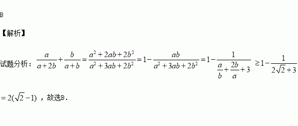
精英家教网 > 高中数学 > 题目详情

已知a,b都是负实数,则的最小值是( )

A. B.2(﹣1) C. D.2(+1)

练习册系列答案
相关习题

科目:高中数学 来源:2016届辽宁省抚顺市高三上学期第一次模拟文科数学试卷(解析版) 题型:选择题

将函数的图象向右平移个单位长度,所得图象对应的函数( )

A.在区间上单调递减

B.在区间上单调递增

C.在区间上单调递减

D.在区间上单调递增

查看答案和解析>>

科目:高中数学 来源:2015-2016学年吉林省高一上学期期中数学试卷(解析版) 题型:填空题

函数的定义域为

查看答案和解析>>

科目:高中数学 来源:2015-2016学年吉林实验中学高二上学期期中理科数学试卷(解析版) 题型:解答题

(本小题12分)已知圆直线

(Ⅰ)求证:直线与圆C相交;

(Ⅱ)计算直线被圆截得的最短的弦长.

查看答案和解析>>

科目:高中数学 来源:2016届江西省南昌市高三上第四次考试文科数学试卷(解析版) 题型:解答题

如图1,在直角梯形中,的中点,是AC与的交点,将沿折起到图2中的位置,得到四棱锥

(Ⅰ)证明:平面

(Ⅱ)当平面平面时,四棱锥的体积为,求的值.

查看答案和解析>>

科目:高中数学 来源:2016届湖南省株洲市高三上期中理科数学试卷(解析版) 题型:选择题

一空间几何体的三视图如图所示,该几何体的 体积为,则正视图中x的值为( )

A.5 B.4 C.3 D.2

查看答案和解析>>

科目:高中数学 来源:2016届湖南省长沙市高三月考三理科数学试卷(解析版) 题型:解答题

某校教务处要对高三上学期期中数学试卷进行调研,考察试卷中某道填空题的得分情况.已知该题有两空,第一空答对得3分,答错或不答得0分;第二空答对得2分,答错或不答得0分.第一空答对与否与第二空答对与否是相互独立的.从该校1468份试卷中随机抽取1000份试卷,其中该题的得分组成容量为1000的样本,统计结果如下表:

(1)求样本试卷中该题的平均分,并据此估计该校高三学生该题的平均分.

(2)该校的一名高三学生因故未参加考试,如果这名学生参加考试,以样本中各种得分情况的频率(精确到0.1)作为该同学相应的各种得分情况的概率.试求该同学这道题得分ζ的分布列及数学期望.

查看答案和解析>>

科目:高中数学 来源:2016届北京市海淀区高三上学期期中考试理科数学试卷(解析版) 题型:解答题

已知由整数组成的数列各项均不为0,其前n项和为 ,且

(Ⅰ)求的值;

(Ⅱ)求的通项公式;

(Ⅲ)若时,取得最小值,求a的值.

查看答案和解析>>

科目:高中数学 来源:2016届河南省郑州市高三上学期联考文科数学试卷(解析版) 题型:选择题

执行如图所示的程序框图,若输出,则输入角( )

A. B.- C. D.-

查看答案和解析>>

同步练习册答案