精英家教网 > 高中数学 > 题目详情
已知三棱锥P﹣ABC中,PA⊥ABC,AB⊥AC,PA=AC= AB,N为AB上一点,AB=4AN,M,S分别为PB,BC的中点.
(Ⅰ)证明:CM⊥SN;
(Ⅱ)求SN与平面CMN所成角的大小.

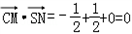
证明:设PA=1,以A为原点,射线AB,AC,AP分别为x,y,z轴正向建立空间直角坐标系如图.则P(0,0,1),C(0,1,0),B(2,0,0),M(1,0,),N(,0,0),S(1,,0).
(Ⅰ)
因为
所以CM⊥SN
(Ⅱ)
设a=(x,y,z)为平面CMN的一个法向量,则
令x=2,得a=(2,1,﹣2).因为,所以SN与平面CMN所成角为45°.

练习册系列答案
相关习题

科目:高中数学 来源: 题型:

已知三棱锥P-ABC的三条侧棱PA,PB,PC两两相互垂直,且PA=2
3
,PB=3,PC=2外接球的直径等于
 

查看答案和解析>>

科目:高中数学 来源: 题型:

已知三棱锥P-ABC中,PC⊥底面ABC,AB=BC,D、F分别为AC、PC的中点,DE⊥AP于E.
(Ⅰ)求证:AP⊥平面BDE;
(Ⅱ)若AE:EP=1:2,求截面BEF分三棱锥P-ABC所成上、下两部分的体积比.

查看答案和解析>>

科目:高中数学 来源: 题型:

如图,已知三棱锥P-ABC,∠ACB=90°,CB=4,AB=20,D为AB中点,M为PB的中点,且△PDB是正三角形,PA⊥PC.
(I)求证:DM∥平面PAC;
(II)求证:平面PAC⊥平面ABC;
(Ⅲ)求三棱锥M-BCD的体积.

查看答案和解析>>

科目:高中数学 来源: 题型:

(2009•河西区二模)如图,已知三棱锥P-ABC中,PA⊥面ABC,其中正视图为Rt△PAC,AC=2
6
,PA=4,俯视图也为直角三角形,另一直角边长为2
2

(Ⅰ)画出侧视图并求侧视图的面积;
(Ⅱ)证明面PAC⊥面PAB;
(Ⅲ)求直线PC与底面ABC所成角的余弦值.

查看答案和解析>>

科目:高中数学 来源: 题型:

(2009•黄浦区二模)已知三棱锥P-ABC的棱长都是2,点D是棱AP上不同于P的点.
(1)试用反证法证明直线BD与直线CP是异面直线.
(2)求三棱锥P-ABC的体积VP-ABC

查看答案和解析>>

同步练习册答案