精英家教网 > 高中数学 > 题目详情
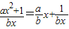
已知函数y=f(x)= (a,b,c∈R,a>0,b>0)是奇函数,当x>0时,f(x)有最小值2,其中b∈N且f(1)<.试求函数f(x)的解析式.
【答案】分析:根据f(x)是奇函数,可得f(-x)=-f(x),从而可求c=0,f(x)=,利用基本不等式可求最小值,由f(1)<,即2b2-5b+2<0,可求b=1,a=1,故可求函数的解析式.
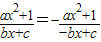
解答:解:∵f(x)是奇函数,∴f(-x)=-f(x),
,∴bx+c=bx-c,∴c=0,…(2分)
∵a>0,b>0,x>0,∴f(x)=,…(4分)
当且仅当x=时等号成立,于是=2,∴a=b2,…(6分)
由f(1)<,即,…(8分)
∴2b2-5b+2<0,解得<b<2,…(10分)
又b∈N,∴b=1,∴a=1,∴f(x)=x+.…(12分)
点评:本题考查函数的解析式,考查函数的奇偶性,考查利用基本不等式求函数的最值,属于中档题.
练习册系列答案
相关习题

科目:高中数学 来源: 题型:

16、已知函数y=f(x)是R上的奇函数且在[0,+∞)上是增函数,若f(a+2)+f(a)>0,求a的取值范围.

查看答案和解析>>

科目:高中数学 来源: 题型:

2、已知函数y=f(x+1)的图象过点(3,2),则函数f(x)的图象关于x轴的对称图形一定过点(  )

查看答案和解析>>

科目:高中数学 来源: 题型:

已知函数y=f(x)是偶函数,当x<0时,f(x)=x(1-x),那么当x>0时,f(x)=
-x(1+x)
-x(1+x)

查看答案和解析>>

科目:高中数学 来源: 题型:

已知函数y=f(x)是定义在R上的奇函数,当x>0 时,f(x)的图象如图所示,则不等式x[f(x)-f(-x)]≤0 的解集为
[-3,3]
[-3,3]

查看答案和解析>>

科目:高中数学 来源: 题型:

已知函数y=f(x)的图象如图,则满足f(log2(x-1))•f(2-x2-1)≥0的x的取值范围为
(1,3]
(1,3]

查看答案和解析>>

同步练习册答案