精英家教网 > 高中数学 > 题目详情

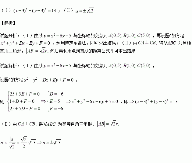
在平面直角坐标系中, 曲线与坐标轴的交点都在圆C上.

(Ⅰ)求圆C的方程;

(Ⅱ)若圆C与直线交于A,B两点,且的值.

练习册系列答案
相关习题

科目:高中数学 来源:2015-2016学年广东汕头金山中学高一上学期期中数学试卷(解析版) 题型:选择题

表示非空集合中元素的个数,定义,若,且,设实数的所有可能取值构成集合,则( )

A.4 B.3 C.2 D.1

查看答案和解析>>

科目:高中数学 来源:2016届广东省广州市高三上学期期中文科数学试卷(解析版) 题型:选择题

从椭圆上一点轴作垂线,垂足恰好为左焦点是椭圆与轴正半轴的交点,是椭圆与轴正半轴的交点,且是坐标原点),则该椭圆的离心率是( )

A. B. C. D.

查看答案和解析>>

科目:高中数学 来源:2015-2016学年吉林长春十一中高一上学期期中文科数学卷(解析版) 题型:解答题

已知函数,函数的最小值为

(1)求

(2)是否存在实数同时满足以下条件:

;②当的定义域为时,值域为

若存在,求出的值;若不存在,说明理由

查看答案和解析>>

科目:高中数学 来源:2015-2016学年湖南衡阳八中高二上学期期中文科数学试卷(解析版) 题型:填空题

函数的单调增区间是__________.

查看答案和解析>>

科目:高中数学 来源:2015-2016学年黑龙江哈尔滨师大附中高二上期中理数学卷(解析版) 题型:解答题

设椭圆C:的离心率与双曲线的离心率互为倒数,且椭圆C过点

(Ⅰ)求椭圆C的方程;

(Ⅱ)若椭圆C的左、右焦点分别为,过的直线与椭圆C相交于A、B两点,求面积的最大值.

查看答案和解析>>

科目:高中数学 来源:2015-2016学年河北省高一上学期期中数学试卷(解析版) 题型:填空题

是第三象限角,则是第 象限角.

查看答案和解析>>

科目:高中数学 来源:2015-2016学年陕西省西安市高一上学期期中考试数学试卷(解析版) 题型:选择题

函数的图象大致是( )

查看答案和解析>>

科目:高中数学 来源:2015-2016学年青海省高二期中考试数学试卷(解析版) 题型:选择题

是异面直线,直线,则的位置关系是( )

A.相交 B.异面 C.平行 D.异面或相交

查看答案和解析>>

同步练习册答案