精英家教网 > 高中数学 > 题目详情

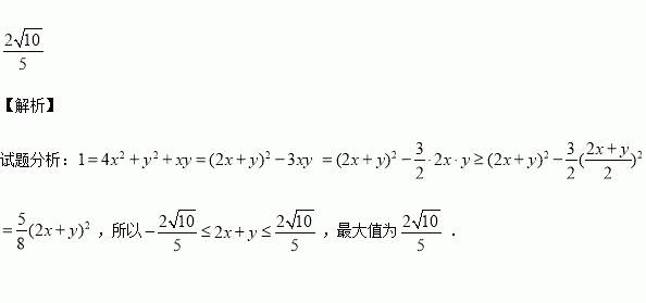
为实数,若 的最大值是

练习册系列答案
相关习题

科目:高中数学 来源:2015-2016学年山西省高二5月月考理科数学试卷(解析版) 题型:解答题

袋子A和B中装有若干个均匀的红球和白球,从A中摸出一个红球的概率是,从B中摸出一个红球的概率为p.

(I)从A中有放回地摸球,每次摸出一个,有3次摸到红球即停止.

(i)求恰好摸5次停止的概率;

(ii)记5次之内(含5次)摸到红球的次数为,求随机变量的分布列及数学期望E

(II)若A、B两个袋子中的球数之比为1:2,将A、B中的球装在一起后,从中摸出一个红球的概率是,求p的值.

查看答案和解析>>

科目:高中数学 来源:2015-2016学年河北邢台一中高二下期中文科数学试卷(解析版) 题型:解答题

已知函数的定义域为.

(1)求实数的取值范围;

(2)当取最大值时,若正数满足,求的最小值.

查看答案和解析>>

科目:高中数学 来源:2015-2016学年河北邢台一中高二下期中文科数学试卷(解析版) 题型:选择题

设集合,集合为函数的定义域,则( )

A. B. C. D.

查看答案和解析>>

科目:高中数学 来源:2015-2016学年广东省高一下期中数学试卷(解析版) 题型:解答题

设数列的前项和为.

(1)求证:数列是等差数列.

(2)设是数列的前项和,求使 对所有的都成立的最大正整数的值.

查看答案和解析>>

科目:高中数学 来源:2015-2016学年广东省高一下期中数学试卷(解析版) 题型:选择题

中有,,则为 ( )

A. B. C. D.

查看答案和解析>>

科目:高中数学 来源:2015-2016学年广东省高一下期中数学试卷(解析版) 题型:选择题

等差数列中,已知=33,则为( )

A.50 B.49 C.48 D. 47

查看答案和解析>>

科目:高中数学 来源:2015-2016学年重庆一中高一下学期期中数学试卷(解析版) 题型:选择题

已知递减的等比数列满足,前三项和为7,则取最大值时( )

A.2 B.3 C.2或3 D.3或4

查看答案和解析>>

科目:高中数学 来源:2015-2016学年重庆巴蜀中学高二下期中理科数学试卷(解析版) 题型:填空题

已知随机变量,则

查看答案和解析>>

同步练习册答案