精英家教网 > 高中数学 > 题目详情

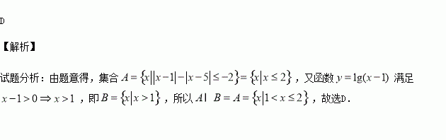
设集合,集合为函数的定义域,则( )

A. B. C. D.

练习册系列答案
相关习题

科目:高中数学 来源:2015-2016学年贵州思南中学高二下期中理科数学试卷(解析版) 题型:选择题

已知函数有两个极值点,且,则关于的方程的不同实数根个数为( )

A、3 B、4 C、5 D、6

查看答案和解析>>

科目:高中数学 来源:2015-2016学年宁夏石嘴山三中高二下期中文科数学试卷(解析版) 题型:选择题

设函数的图象上关于y轴对称的点至少有3对,则实数a的取值范围是( )

A. B. C. D.

查看答案和解析>>

科目:高中数学 来源:2015-2016学年河北邢台一中高二下期中文科数学试卷(解析版) 题型:解答题

某企业有两个分厂生产某种零件,按规定内径尺寸(单位:mm)的值落在(29.94,30.06)上的零件为优质品.从两个分厂生产的零件中各抽出500件,量其内径尺寸,得结果如下表:

甲厂:

乙厂:

(1)试分别估计两个分厂生产的零件的优质品率;

(2)由以上统计数据填下面2×2列联表,并问能否在犯错误的概率不超过0.010的前提下认为“两个分厂生产的零件的质量有差异”?

附:,其中n=a+b+c+d.

查看答案和解析>>

科目:高中数学 来源:2015-2016学年河北邢台一中高二下期中文科数学试卷(解析版) 题型:选择题

学生的语文、数学成绩均被评定为三个等级,依次为“优秀”“合格”“不合格”.若学生甲的语文、数学成绩都不低于学生乙,且其中至少有一门成绩高于乙,则称“学生甲比学生乙成绩好”.如果一组学生中没有哪位学生比另一位学生成绩好,并且不存在语文成绩相同、数学成绩也相同的两位学生,那么这组学生最多有( )

A.2人 B.3人 C.4人 D.5人

查看答案和解析>>

科目:高中数学 来源:2015-2016学年广东省高一下期中数学试卷(解析版) 题型:解答题

某国际化妆品生产企业为了占有更多的市场份额,拟在2016年巴西奥运会期间进行一系列促销活动,经过市场调查和测算,化妆品的年销量万件与年促销费万元之间满足成反比例,如果不搞促销活动,化妆品的年销量只能是1万件,已知2016年生产化妆品的设备折旧,维修等固定费用为3万元,每生产1万件化妆品需再投入32万元的生产费用,若将每件化妆品的售价定为其生产成本的150%与平均每件促销费的一半的和,则当年生产的化妆品正好能销完。

(1) 将2016年的利润(万元)表示为促销费万元的函数.

(2) 该企业2016年的促销费投入多少时,企业的年利润最大?

(注:利润=销售收入-生产成本-促销费,生产成本=固定费用+生产费用)

查看答案和解析>>

科目:高中数学 来源:2015-2016学年广东省高一下期中数学试卷(解析版) 题型:填空题

为实数,若 的最大值是

查看答案和解析>>

科目:高中数学 来源:2015-2016学年重庆一中高一下学期期中数学试卷(解析版) 题型:解答题

直角三角形中,角对边长分别为.

(1)若三角形面积为2,求斜边长最小值;

(2)试比较 的大小,并说明理由.

查看答案和解析>>

科目:高中数学 来源:2015-2016学年重庆巴蜀中学高二下期中文科数学试卷(解析版) 题型:选择题

命题“为常数)”的否定是( )

A.为常数) B.为常数)

C.为常数) D.为常数)

查看答案和解析>>

同步练习册答案