精英家教网 > 高中数学 > 题目详情

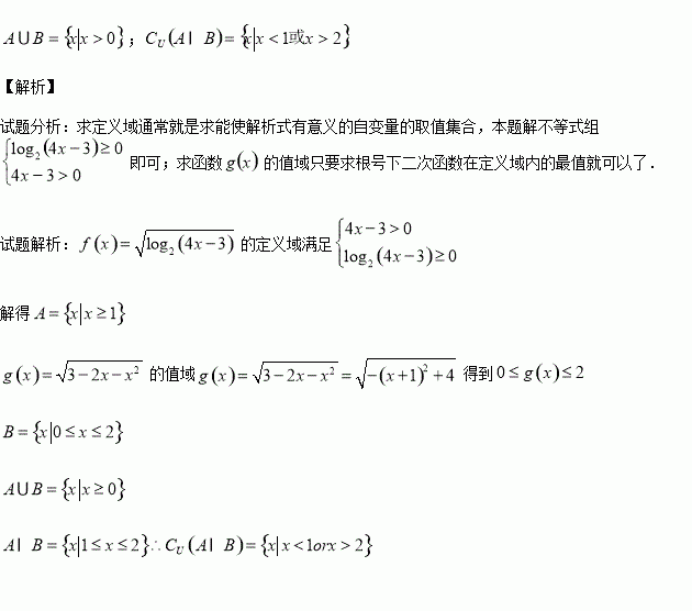
若全集,函数的定义域为A,函数的值域为B,求

练习册系列答案
相关习题

科目:高中数学 来源:2015-2016学年河北冀州中学高二上第三次月考理科数学卷(解析版) 题型:选择题

下列说法中正确的是( )

A、一个命题的逆命题为真,则它的逆否命题一定为真

B、“”与“ ”不等价

C、“,则全为”的逆否命题是“若全不为,则

D、一个命题的否命题为真,则它的逆命题一定为真

查看答案和解析>>

科目:高中数学 来源:2015-2016学年江西省高一上第三次考试数学试卷(解析版) 题型:选择题

)在处取最大值,则 ( )

A.一定是奇函数

B.一定是偶函数

C.一定是奇函数

D.一定是偶函数

查看答案和解析>>

科目:高中数学 来源:2015-2016学年安徽省高二上期中理科数学试卷(解析版) 题型:选择题

下列说法正确的是( )

A.某厂一批产品的次品率为,则任意抽取其中10件产品一定会发现一件次品

B.气象部门预报明天下雨的概率是90%,说明明天该地区90%的地方要下雨,其余10%的地方不会下雨

C.某医院治疗一种疾病的治愈率为10%,那么 前9个病人都没有治愈,第10个人就一定能治愈

D.掷一枚硬币,连续出现5次正面向上,第六次出现反面向上的概率与正面向上的概率仍然都为0.5

查看答案和解析>>

科目:高中数学 来源:2015-2016学年江苏省泰兴市高一上学期期中考试数学试卷(解析版) 题型:填空题

下列判断正确的是 (把正确的序号都填上).

①若f(x)=ax2+(2a+b)x+2 (其中x∈[2a-1,a+4])是偶函数,则实数b=2;

②若函数在区间上递增,在区间上也递增,则函数必在上递增;

③f(x)表示-2x+2与-2x2+4x+2中的较小者,则函数f(x)的最大值为1;

④已知f(x)是定义在R上的不恒为零的函数,且对任意的x、y∈R都满足f(x·y)=x·f(y)+y·f(x),则f(x)是奇函数.Ks

查看答案和解析>>

科目:高中数学 来源:2015-2016学年江苏省淮安市高二上学期期中考试数学试卷(解析版) 题型:解答题

已知以点C为圆心的圆经过点A(3,1)和B(1,3),且圆自身关于直线对称.设直线

(1)求圆C的方程;

(2)在圆C上,若到直线的距离等于1的点恰有4个,求的取值范围.

查看答案和解析>>

科目:高中数学 来源:2015-2016学年福建省四地六校高二上学期11月月考文科数学试卷(解析版) 题型:选择题

的平均数,的平均数,的平均数,则下列各式正确的是( )

A.

B.

C.

D.

查看答案和解析>>

科目:高中数学 来源:2015-2016学年安徽省高二上期中文科数学试卷(解析版) 题型:选择题

从装有两个白球和两个黑球的口袋内任取两个球,那么互斥而不对立的两个事件是( )

A.“恰有一个黑球”与“恰有两个黑球”

B.“至少有一个黑球”与“至少有一个白球”

C.“至少有一个黑球”与“都是白球”

D.“至少有一个黑球”与“都是黑球”

查看答案和解析>>

科目:高中数学 来源:2016届安徽省等高三第三次联考文科数学卷(解析版) 题型:填空题

已知点所在平面内的一点,且满足,则的面积之比为

查看答案和解析>>

同步练习册答案