精英家教网 > 高中数学 > 题目详情

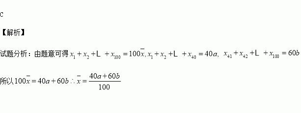
的平均数,的平均数,的平均数,则下列各式正确的是( )

A.

B.

C.

D.

练习册系列答案
相关习题

科目:高中数学 来源:2015-2016学年宁夏石嘴山三中高一上期中数学试卷(解析版) 题型:填空题

已知函数的定义域为M,的定义域为N,则

查看答案和解析>>

科目:高中数学 来源:2015-2016学年吉林省高二上期中理科数学试卷(解析版) 题型:选择题

若焦点在轴上的椭圆的离心率为,则( )

A. B. C. D.

查看答案和解析>>

科目:高中数学 来源:2015-2016学年湖南省邵阳市高一上学期期中考试试卷(解析版) 题型:解答题

若全集,函数的定义域为A,函数的值域为B,求

查看答案和解析>>

科目:高中数学 来源:2015-2016学年江苏省淮安市高二上学期期中考试数学试卷(解析版) 题型:填空题

三条直线不能围成一个三角形,则实数的值为

查看答案和解析>>

科目:高中数学 来源:2015-2016学年福建省四地六校高二上学期11月月考理科数学试卷(解析版) 题型:选择题

如图,已知椭圆的左,右焦点分别为轴正半轴上一点,交椭圆于A,若,且的内切圆半径为,则椭圆的离心率为( )

A. B. C. D.

查看答案和解析>>

科目:高中数学 来源:2015-2016学年福建省龙海市高二上学期期中理科数学试卷(解析版) 题型:选择题

甲,乙两名运动员练习罚球,每人练习10组,每组罚球40个,命中个数的茎叶图如图,则甲,乙两命中个数的中位数分别为( )

A.23,19 B.24,18

C.22,20 D.23,20

查看答案和解析>>

科目:高中数学 来源:2016届浙江省高三上学期期中理科数学试卷(解析版) 题型:解答题

如图,四棱锥中,侧面是边长为2的正三角形,底面是菱形,,点在底面上的射影为的重心,点为线段上的点.

(1)当点的中点时,求证:平面

(2)当平面与平面所成锐二面角的余弦值为时,求的值.

查看答案和解析>>

科目:高中数学 来源:2015-2016学年重庆市高一上期中数学试卷(解析版) 题型:选择题

有如下几个结论:

①若函数满足:则2为的一个周期,

②若函数满足:的一个周期,

③若函数满足:为偶函数,

④若函数满足:为函数的图像的对称中心.

正确的结论为______(填上正确结论的序号)

查看答案和解析>>

同步练习册答案