精英家教网 > 高中数学 > 题目详情
如图,在等边△ABC中,O为边AB的中点,AB=4,D、E为△ABC的高线上的点,且
,若以A,B为焦点,O为中心的椭圆过点D,建立适当的直角坐标系,记椭圆为M,
(1)求椭圆M的方程;
(2)过点E的直线l与椭圆M交于不同的两点P,Q,点P在点E,Q之间,且,求实数λ的取值范围。
解:(1)建立如图所示的直角坐标系,
由于

∴D(0,1),E(0,2),
设椭圆的方程为
∴2c=4,即c=2,b=1,
即椭圆方程为
(2)设
∵E(0,2),即, ①

,①
又∵P,Q都在椭圆上,
,② 
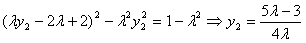
由①②得
消去x2


又∵P在E,Q之间,又
∴0<λ<1,
∴λ的范围为
练习册系列答案
相关习题

科目:高中数学 来源: 题型:

精英家教网如图,在等边△ABC中,以AB为直径的⊙O与BC相交于点D,连接AD,则∠DAC的度数为
 
度.

查看答案和解析>>

科目:高中数学 来源: 题型:

如图,在等边△ABC中,O为边AB的中点,AB=4,D、E为△ABC的高线上的点,且|
OC
|=2
3
|
OD
|
|
OC
|=
3
|
OE
|
.若以A,B为焦点,O为中心的椭圆过点D,建立适当的直角坐标系,记椭圆为M.
(1)求椭圆M的方程;
(2)过点E的直线l与椭圆M交于不同的两点P,Q,点P在点E,Q之间,且
EP
EQ
,求实数λ的取值范围.

查看答案和解析>>

科目:高中数学 来源:2012-2013学年江苏省仪征市高三第一次涂卡训练数学试卷(解析版) 题型:填空题

如图,在等边△ABC中,P是边AC上一点,连接BP,将△BCP绕点B逆时针旋转60°,得到△BAQ,连接PQ.若BC=8,BP=7,则△APQ的周长是    

 

查看答案和解析>>

科目:高中数学 来源:不详 题型:填空题

如图,在等边△ABC中,以AB为直径的⊙O与BC相交于点D,连接AD,则∠DAC的度数为 ______度.
精英家教网

查看答案和解析>>

科目:高中数学 来源:2011年甘肃省兰州一中高考数学三模试卷(文科)(解析版) 题型:解答题

如图,在等边△ABC中,O为边AB的中点,AB=4,D、E为△ABC的高线上的点,且.若以A,B为焦点,O为中心的椭圆过点D,建立适当的直角坐标系,记椭圆为M.
(1)求椭圆M的方程;
(2)过点E的直线l与椭圆M交于不同的两点P,Q,点P在点E,Q之间,且,求实数λ的取值范围.

查看答案和解析>>

同步练习册答案