精英家教网 > 高中数学 > 题目详情

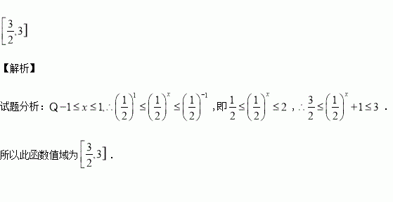
函数的值域是

练习册系列答案
相关习题

科目:高中数学 来源:2015-2016学年湖北荆州中学高一上学期期中文科数学试卷(解析版) 题型:选择题

已知是偶函数,是奇函数,且,则( )

A. B. C. D.

查看答案和解析>>

科目:高中数学 来源:2014-2015学年海南省高三下学期大测三理科数学试卷(解析版) 题型:选择题

已知全集,集合,则下列关系正确的是( )

A.CUB=R B.CUA=R

C. D.

查看答案和解析>>

科目:高中数学 来源:2015-2016学年湖北省黄石市高二10月月考文科数学试卷(解析版) 题型:解答题

(本大题满分10分)在锐角△ABC中,

(Ⅰ)求角的大小;

(Ⅱ)当时,求面积的最大值.

查看答案和解析>>

科目:高中数学 来源:2015-2016学年河北省定州市高二上学期竞赛数学试卷(解析版) 题型:选择题

按照程序框图(如图)执行,第3个输出的( ).

A.3 B.4 C.5 D.6

查看答案和解析>>

科目:高中数学 来源:2014-2015学年四川省高二下学期4月月考理科数学试卷(解析版) 题型:选择题

如图,某建筑工地搭建的脚手架局部类似于4×2×3的长方体框架(由24个棱长为l个单位长度的正方体框架组合而成).一建筑工人从A点沿脚手架到点B,每步走l个单位长度,且不连续向上攀登,则其行走的最近路线共有 ( )

A.150条 B.525条 C.840条 D.1260条

查看答案和解析>>

科目:高中数学 来源:2014-2015学年陕西省西安市高一上学期期中考试数学试卷(解析版) 题型:选择题

已知上是单调函数,则实数的取值范围是( )

A. B. C. D.

查看答案和解析>>

科目:高中数学 来源:2014-2015学年河南省高二4月月考文科数学试卷(解析版) 题型:选择题

某饮料店的日销售收入(单位:百元)与当天平均气温(单位:)之间有下列数据:

-2

-1

0

1

2

5

4

2

2

1

甲、乙、丙三位同学对上述数据进行研究,分别得到了之间的四个线性回归方程,其中正确的是( )

A. B. C. D.

查看答案和解析>>

科目:高中数学 来源:2016届四川省高三上学期10月段考理科数学试卷(解析版) 题型:选择题

设函数若互不相等的实数x1,x2,x3满足,则x1+x2+x3的取值范围是( )

A. B. C. D.

查看答案和解析>>

同步练习册答案