精英家教网 > 高中数学 > 题目详情

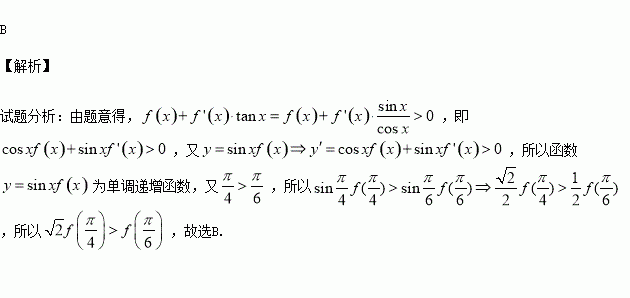
定义在上的函数的导数为,且恒有成立,则( )

A. B.

C. D.

练习册系列答案
相关习题

科目:高中数学 来源:2015-2016学年河北省高二下期中文科数学试卷(解析版) 题型:填空题

设直线,直线平行,则__________.

查看答案和解析>>

科目:高中数学 来源:2015-2016学年贵州省高二下期中文科数学试卷(解析版) 题型:解答题

(1)某校共有学生名,各年级男、女生人数如下表. 已知在全校学生中随机抽取名,抽到二年级女生的概率是,现用分层抽样的方法在全校名学生,求应在三年级抽取的学生人数;

(2)甲乙两个班级进行一门课程的考试,按照学生考试成绩优秀和不优秀统计成绩后,得到如下的列联表:

班级与成绩列联表

根据列联表的独立性检验,能否在犯错误的概率不超过的前提下认为成绩与班级有关系?

附:

查看答案和解析>>

科目:高中数学 来源:2015-2016学年贵州省高二下期中理科数学试卷(解析版) 题型:解答题

已知函数.

(1)求的单调区间;

(2)当时,若,比较:的大小;

(3)若的极值为,问是否存在实数,使方程有四个不同实数根?若存在,求出实数的取值范围;若不存在,请说明理由.

查看答案和解析>>

科目:高中数学 来源:2015-2016学年贵州省高二下期中理科数学试卷(解析版) 题型:填空题

下表给出了一个“三角形数阵”:

……

依照表中数的分布规律,可猜得第行第个数是

查看答案和解析>>

科目:高中数学 来源:2015-2016学年贵州省高二下期中理科数学试卷(解析版) 题型:选择题

某公共汽车上有名乘客,沿途有个车站,乘客下车的可能方式( )

A.种 B.种 C.种 D.

查看答案和解析>>

科目:高中数学 来源:2015-2016学年安徽师大附中高二下期中文科数学试卷(解析版) 题型:解答题

已知曲线为参数),为参数).

(1)化的方程为普通方程,并说明它们分别表示什么曲线;

(2)若曲线相交于两点,求

查看答案和解析>>

科目:高中数学 来源:2015-2016学年安徽师大附中高二下期中文科数学试卷(解析版) 题型:选择题

在极坐标系中,点关于极点对称的点的坐标可以是( )

A. B. C. D.

查看答案和解析>>

科目:高中数学 来源:2016届山东省高三第一次模拟文科数学试卷(解析版) 题型:选择题

《九章算术》是我国数学史上堪与欧几里得《几何原本》相媲美的数学名著,其第五卷《商功》

中有如下问题:“今有圆堡,周四丈八尺,高一丈一尺,问积几何?”这里所说的圆堡就是圆柱体,其底

面周长是4丈8尺,高1丈1尺,问它的体积是多少?若取3,估算该圆堡的体积为( )

A.1998立方尺 B.2012立方尺 C.2112立方尺 D.2324立方尺

查看答案和解析>>

同步练习册答案