精英家教网 > 高中数学 > 题目详情

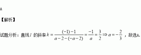
若直线经过点,且与经过点斜率为的直线垂直,则实数的值是( )

A. B. C. D.

练习册系列答案
相关习题

科目:高中数学 来源:2017届江西上高县二中高三上学期开学考数学(理)试卷(解析版) 题型:解答题

如图,在直三棱柱中,分别为棱的中点.

(1)求二面角的平面角的余弦值;

(2)在线段上是否存在一点,使得平面?若存在,确定点的位置并证明结论;若不存在,请说明理由.

查看答案和解析>>

科目:高中数学 来源:2016-2017学年河北武邑中学高二上周考9.4理数学试卷(解析版) 题型:解答题

如图, 正三棱柱中,的中点,.

(1)求证:

(2)求三棱锥的体积.

查看答案和解析>>

科目:高中数学 来源:2016-2017学年河北武邑中学高二上周考9.4理数学试卷(解析版) 题型:选择题

在梯形中,, 将梯形所在的直线旋转一周而形成的曲面所围成的几何体的体积为( )

A. B. C. D.

查看答案和解析>>

科目:高中数学 来源:2016-2017学年河北武邑中学高二上周考8.28文数试卷(解析版) 题型:解答题

如图所示,已知几何体的三视图,用斜二测画法画出它的直观图.

查看答案和解析>>

科目:高中数学 来源:2016-2017学年河北武邑中学高二上周考8.28文数试卷(解析版) 题型:选择题

如图是正六棱柱的三视图,其中画法正确的是( )

查看答案和解析>>

科目:高中数学 来源:2016-2017学年河北武邑中学高二上周考8.28理数试卷(解析版) 题型:解答题

一汽车厂生产三类轿车,每类轿车均有舒适型和标准型两种型号,某月的产量如下表(单位:辆):

按类用分层抽样的方法在这个月生产的轿车中抽取50辆,其中有类轿车10辆.

(1)求的值;

(2)用分层抽样的方法在类轿车中抽取一个容量为5的样本,将该样本看成一个总体,从中任取2辆,求至少有1辆舒适型轿车的概率;

(3)用随机抽样的方法从类舒适型轿车中抽取8辆,经检测它们的得分如下:

,把这8辆轿车的得分看成一个总体,从中任取一个数,求该数与样本平均数之差的绝对值不超过0.5的概率.

查看答案和解析>>

科目:高中数学 来源:2016-2017学年河北武邑中学高二上周考8.28理数试卷(解析版) 题型:选择题

甲、乙两人下棋,甲获胜的概率为40%,甲不输的概率是90%,则甲、乙两人下和棋的概率是( )

A.60% B.30% C.10% D.50%

查看答案和解析>>

科目:高中数学 来源:2017届北京市高三入学定位考试数学(文)试卷(解析版) 题型:选择题

已知复数满足,则( )

A. B. C. D.

查看答案和解析>>

同步练习册答案