精英家教网 > 高中数学 > 题目详情

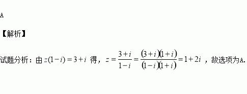
已知复数满足,则( )

A. B. C. D.

练习册系列答案
相关习题

科目:高中数学 来源:2016-2017学年河北武邑中学高二上周考8.28文数试卷(解析版) 题型:选择题

若直线经过点,且与经过点斜率为的直线垂直,则实数的值是( )

A. B. C. D.

查看答案和解析>>

科目:高中数学 来源:2015-2016学年天津静海县一中等高二下期末文数学试卷(解析版) 题型:填空题

如图,P是⊙O的直径AB延长线上一点,PC与⊙O相切于点C。∠APC的角平分线交AC于点Q,则∠AQP的大小为 .

查看答案和解析>>

科目:高中数学 来源:2017届北京市高三入学定位考试数学(文)试卷(解析版) 题型:填空题

网上购鞋常常看到这样一张脚的长度与鞋号的对照表,第一行可以理解为脚的长度,第二行是我们习惯称呼的“鞋号”.

从上述表格中可以推算出30号的童鞋对应的脚的长度为____;若一个篮球运动员的脚长为282,则他该穿_____号的鞋.

查看答案和解析>>

科目:高中数学 来源:2017届北京市高三入学定位考试数学(文)试卷(解析版) 题型:选择题

已知实数,满足,则的最小值为( )

A.8 B.16

C.32 D.64

查看答案和解析>>

科目:高中数学 来源:2017届北京市高三入学定位考试数学(理)试卷(解析版) 题型:解答题

已知函数.

(Ⅰ)当时,求证:函数的图像关于点对称;

(Ⅱ)当时,求的单调区间.

查看答案和解析>>

科目:高中数学 来源:2017届北京市高三入学定位考试数学(理)试卷(解析版) 题型:填空题

某三棱锥的三视图如图所示,其中俯视图是正方形,则该三棱锥最长棱的长是________.

查看答案和解析>>

科目:高中数学 来源:2016届上海市高三第一次月考数学试卷(解析版) 题型:选择题

已知空间直线不在平面内,则“直线上有两个点到平面的距离相等”是“”的( )

A.充分非必要条件 B.必要非充分条件

C.充要条件 D.非充分非必要条件

查看答案和解析>>

科目:高中数学 来源:2016-2017学年山东淄博六中高二上自主训练一数学试卷(解析版) 题型:解答题

已知向量,函数

(1)若函数在区间上单调递减,求实数的取值范围;

(2)当函数取得最大值时,求的值.

查看答案和解析>>

同步练习册答案