精英家教网 > 高中数学 > 题目详情

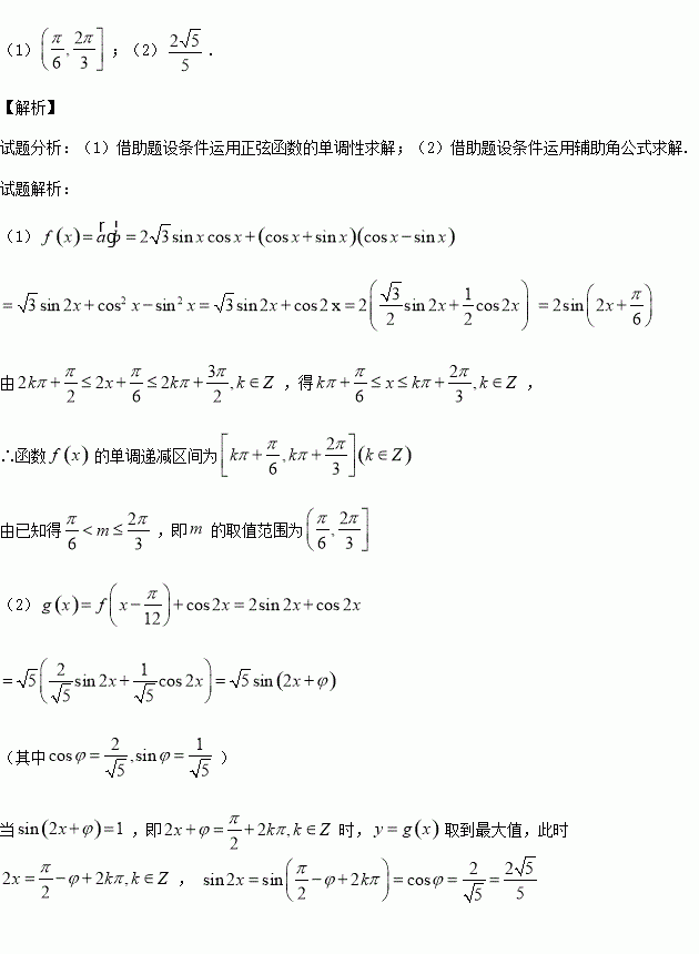
已知向量,函数

(1)若函数在区间上单调递减,求实数的取值范围;

(2)当函数取得最大值时,求的值.

练习册系列答案
相关习题

科目:高中数学 来源:2017届北京市高三入学定位考试数学(文)试卷(解析版) 题型:选择题

已知复数满足,则( )

A. B. C. D.

查看答案和解析>>

科目:高中数学 来源:2016届上海市高三第一次月考数学试卷(解析版) 题型:填空题

函数的最小正周期为_______________.

查看答案和解析>>

科目:高中数学 来源:2016届陕西西北工业大学附中高三二模数学(文)试卷(解析版) 题型:选择题

已知,若所在平面内一点,且,则的取值范围是( )

A. B. C. D.

查看答案和解析>>

科目:高中数学 来源:2016届陕西西北工业大学附中高三二模数学(文)试卷(解析版) 题型:选择题

下列命题中,假命题是( )

A.“是函数的一个周期”或“是函数的一个周期”

B.“”是“函数不存在零点”的充分不必要条件

C.“若,则”的否命题

D.“任意,函数在定义域内单调递增”的否定

查看答案和解析>>

科目:高中数学 来源:2016-2017学年山东淄博六中高二上自主训练一数学试卷(解析版) 题型:填空题

已知函数(其中)的图象关于点成中心对称,且与点相邻的一个最低点为,则对于下列判断:

① 直线是函数图象的一条对称轴;②函数为偶函数;③函数的图象的所有交点的横坐标之和为.其中正确的判断是___________.(写出所有正确判断的序号)

查看答案和解析>>

科目:高中数学 来源:2016-2017学年山东淄博六中高二上自主训练一数学试卷(解析版) 题型:选择题

已知在中,角所对的边分别为,若,则( )

A. B. C. D.2

查看答案和解析>>

科目:高中数学 来源:2015-2016学年福建师大附中高二下期末数学(理)试卷(解析版) 题型:选择题

对任意实数恒成立,则实数的取值范围为( )

A. B. C. D.

查看答案和解析>>

科目:高中数学 来源:2017届湖北襄阳四中高三七月周考二数学(理)试卷(解析版) 题型:填空题

_________.

查看答案和解析>>

同步练习册答案