精英家教网 > 高中数学 > 题目详情

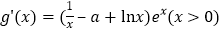
【题目】设函数,已知曲线在点处的切线与直线垂直.

(1)求的值;

(2)若函数,且在区间上是单调函数,求实数的取值范围.

【答案】(1)(2)

【解析】试题分析: (1)由导数几何意义得切线斜率等于切点处导数值,列式,解方程组可得的值;(2)先化简,由题意得导数在不变号,由于单调性不确定,需分类讨论,而两种情形都需利用变量分离法,将不等式恒成立问题转化为对应函数最值问题,结合导数研究新函数变化趋势,确定函数最值取法,进而确定实数的取值范围.
试题解析:解:(1)曲线在点处的切线斜率为2,所以

,即,所以.

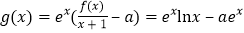
(2)由(1)知,

所以

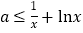
上为单调递减函数,则上恒成立,

,所以

,则

,得,得

故函数上是减函数,在上是增函数,

无最大值,上不恒成立,

不可能是单调减函数,

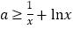
上为单调递增函数,则上恒成立,

,所以,由前面推理知,的最小值为1,

,故的取值范围是.

练习册系列答案
相关习题

科目:高中数学 来源: 题型:

【题目】函数y=loga(x+3)-1(a>0,a≠1)的图象恒过定点A.

(1) 求点A的坐标;

(2) 若点A在直线mx+ny+1=0上,其中m,n都是正数,求的最小值.

查看答案和解析>>

科目:高中数学 来源: 题型:

【题目】设数列满足的前项和.证明:对任意

(1)当时,

(2)当时,

(3)当时,.

查看答案和解析>>

科目:高中数学 来源: 题型:

【题目】已知椭圆的两个焦点分别为,离心率为.设过点的直线与椭圆相交于不同两点 周长为.

)求椭圆C的标准方程;

(Ⅱ)已知点,证明:当直线变化时,总有TA与的斜率之和为定值.

查看答案和解析>>

科目:高中数学 来源: 题型:

【题目】已知函数.

(Ⅰ)求过点且与曲线相切的直线方程;

(Ⅱ)设,其中为非零实数,若有两个极值点,且,求证:.

查看答案和解析>>

科目:高中数学 来源: 题型:

【题目】已知函数f(x)=+x在x=1处的切线方程为2x﹣y+b=0.

(Ⅰ)求实数a,b的值;

(Ⅱ)若函数g(x)=f(x)+x2﹣kx,且g(x)是其定义域上的增函数,求实数k的取值范围.

查看答案和解析>>

科目:高中数学 来源: 题型:

【题目】已知p:x∈A={x|x2﹣2x﹣3≤0,x∈R},q:x∈B={x|x2﹣2mx+m2﹣9≤0,x∈R,m∈R}.

(1)若A∩B=[1,3],求实数m的值;

(2)若p是q的充分条件,求实数m的取值范围.

查看答案和解析>>

科目:高中数学 来源: 题型:

【题目】已知抛物线,过点的直线交抛物线于两点,坐标原点为,且12.

(Ⅰ)求抛物线的方程;

(Ⅱ)当以为直径的圆的面积为时,求的面积的值.

查看答案和解析>>

科目:高中数学 来源: 题型:

【题目】下列说法:

①将一组数据中的每个数据都加上或减去同一个常数后,均值与方差都不变;

②设有一个回归方程,变量x增加一个单位时,y平均增加3个单位;

③线性回归方程必经过点

④在吸烟与患肺病这两个分类变量的计算中,从独立性检验知,有99%的把握认为吸烟与患肺病有关系时,我们说现有100人吸烟,那么其中有99人患肺病.其中错误的个数是( )

A. 0

B. 1

C. 2

D. 3

查看答案和解析>>

同步练习册答案