精英家教网 > 高中数学 > 题目详情

设函数的定义域为集合,函数的定义域为集合,已知满足,且若为真命题,求实数的取值范围.

 

【答案】

实数的取值范围为

【解析】

试题分析:由已知,得,由此可求得集合,由,可得集合,从而可求得.由,因为若为真命题,所以的子集,由此列出不等式,即可求得实数的取值范围.

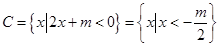
试题解析:由题意,,              2分

,                            4分

.                                6分

,又若为真命题,即,           8分

,                                     10分

,故实数的取值范围为                 12分

考点:1.函数的定义域;2.简单不等式的解法;3.命题真假与集合的包含关系.

 

练习册系列答案
相关习题

科目:高中数学 来源: 题型:

设函数的定义域为集合,函数的定义域为集合.已知满足,且的充分条件,求实数的取值范围.

查看答案和解析>>

科目:高中数学 来源:2016届浙江省宁波市八校高一上学期期末联考数学试卷(解析版) 题型:解答题

设函数的定义域为集合,函数的定义域为集合(其中,且.

1)当时,求集合

2)若,求实数的取值范围.

 

查看答案和解析>>

科目:高中数学 来源:2011-2012学年辽宁省抚顺二中高三(上)第一次月考数学试卷(理科)(解析版) 题型:解答题

已知函数f(x)是定义在R上的偶函数,且x≥0时,
(I)求f(-1)的值;
(II)求函数f(x)的值域A;
(III)设函数的定义域为集合B,若A⊆B,求实数a的取值范围.

查看答案和解析>>

科目:高中数学 来源:2010-2011学年上海市高三上学期期中考试数学卷 题型:解答题

(本题满分12分,第1小题6分,第小题6分)

    设函数的定义域为集合A,函数的定义域为集合B。

   (1)求A∩B;

   (2)若,求实数的取值范围。

 

查看答案和解析>>

科目:高中数学 来源:2014届广东省高一第二次段考数学试卷 题型:解答题

(本小题满分12分)设函数的定义域为集合,不等式的解集为集合

(1)求集合

(2)求集合

 

查看答案和解析>>

同步练习册答案