精英家教网 > 高中数学 > 题目详情

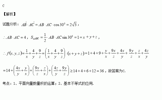
已知内的一点(不含边界),且,若的面积分别为,记,则的最小值为

A. B. C. D.

练习册系列答案
相关习题

科目:高中数学 来源:2014-2015学年江苏省泰州市高三第二次模拟考试数学试卷(解析版) 题型:解答题

(本题满分14分)如图,某市有一条东西走向的公路,现欲经过公路上的处铺设一条南北走向的公路.在施工过程中发现在处的正北百米的处有一汉代古迹.为了保护古迹,该市决定以为圆心,百米为半径设立一个圆形保护区.为了连通公路,欲再新建一条公路,点分别在公路上,且要求与圆相切.

(1)当百米时,求的长;

(2)当公路长最短时,求的长.

查看答案和解析>>

科目:高中数学 来源:2014-2015学年山东省文登市高三第二次统考文科数学试卷(解析版) 题型:解答题

(本小题满分12分)已知数列是等比数列,首项,公比,其前项和为,且成等差数列.

(1)求数列的通项公式;

(2)若数列满足为数列的前项和,若恒成立,求的最大值.

查看答案和解析>>

科目:高中数学 来源:2014-2015学年山东省文登市高三第二次统考文科数学试卷(解析版) 题型:选择题

已知是虚数单位,若,则的虚部为

A. B. C. D.

查看答案和解析>>

科目:高中数学 来源:2014-2015学年山东省文登市高三第二次统考理科数学试卷(解析版) 题型:填空题

抛物线的焦点为,点为抛物线上的动点,点为其准线上的动点,当为等边三角形时,则的外接圆的方程为 .

查看答案和解析>>

科目:高中数学 来源:2014-2015学年山东省文登市高三第二次统考理科数学试卷(解析版) 题型:选择题

已知双曲线的一条渐近线与直线垂直,则双曲线的离心率等于

A. B. C. D.

查看答案和解析>>

科目:高中数学 来源:2014-2015学年江苏省南通市高三第二次调研测试数学试卷(解析版) 题型:解答题

[选修4-5:不等式选讲](本小题满分10分)

设实数满足,求证:

查看答案和解析>>

科目:高中数学 来源:2014-2015学年江苏省南通市高三第二次调研测试数学试卷(解析版) 题型:填空题

在平面直角坐标系中,若曲线(为自然对数的底数)处的切线与直线

垂直,则实数的值为 .

查看答案和解析>>

科目:高中数学 来源:2014-2015学年河南省商丘市高三第一次模拟考试文科数学试卷(解析版) 题型:填空题

已知函数f(x)的定义域为[-1,5],部分对应值如表,f(x)的导函数y=的图象如图所示,

x

-1

0

4

5

f(x)

1

2

2

1

下列关于f(x)的命题:

①函数f(x)是周期函数;

②函数f(x)在[0,2]上是减函数;

③如果当x∈[-1,t]时,f(x)的最大值是2,那么t的最大值是4;

④当1<a<2时,函数y=f(x)-a有4个零点;

⑤函数y=f(x)-a的零点个数可能为0,1,2,3,4.

其中正确命题的序号是___________________(写出所有正确命题的序号).

查看答案和解析>>

同步练习册答案