精英家教网 > 高中数学 > 题目详情

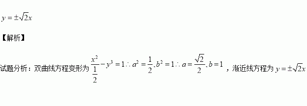
双曲线的渐近线方程是

练习册系列答案
相关习题

科目:高中数学 来源:2015-2016学年福建三明一中高二上第二次月考文数学卷(解析版) 题型:填空题

命题“恒成立”是真命题,则实数的取值范围是

查看答案和解析>>

科目:高中数学 来源:2015-2016学年云南省蒙自市高二10月月考理科数学试卷(解析版) 题型:选择题

已知数列的前项和为,某三角形三边之比为,则该三角形最大角为

A. B. C. D.

查看答案和解析>>

科目:高中数学 来源:2015-2016学年云南省蒙自市高一10月月考数学试卷(解析版) 题型:选择题

的值为( ).

A. B. C. D.

查看答案和解析>>

科目:高中数学 来源:2015-2016学年浙江省金兰教育合作组织高一上学期期中联考数学试卷(解析版) 题型:选择题

三个数之间的大小关系是( )

A. B. C. D.

查看答案和解析>>

科目:高中数学 来源:2015-2016学年江苏省南通市高二上第一阶段考试数学试卷(解析版) 题型:填空题

过点P(3,6)且被圆x 2+y 2=25截得的弦长为8的直线方程为

查看答案和解析>>

科目:高中数学 来源:2015-2016学年山东省淄博市高一上学期期中考试数学试卷(解析版) 题型:解答题

已知集合A={x|},B={x|2<x<10},全集为实数集R.求A∪B,(∁RA)∩B;

查看答案和解析>>

科目:高中数学 来源:2015-2016学年河南省高二12月考理科数学试卷(解析版) 题型:解答题

设函数

(1)若不等式的解集,求的值;

(2)若,求的最小值.

查看答案和解析>>

科目:高中数学 来源:2016届上海市七校高三上12月联考理科数学试卷(解析版) 题型:解答题

(2015秋•上海月考)对定义在[0,1]上的函数f(x),如果同时满足以下三个条件:

①对任意x∈[0,1],总有f(x)≥0;

②f(1)=1;

③若x1≥0,x2≥0,x1+x2≤1,有f(x1+x2)≥f(x1)+f(x2)成立.

则称函数f(x)为理想函数.

(1)判断g(x)=2x﹣1(x∈[0,1])是否为理想函数,并说明理由;

(2)若f(x)为理想函数,求f(x)的最小值和最大值;

(3)若f(x)为理想函数,假设存在x0∈[0,1]满足f[f(x0)]=x0,求证:f(x0)=x0.

查看答案和解析>>

同步练习册答案