精英家教网 > 高中数学 > 题目详情

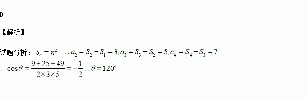
已知数列的前项和为,某三角形三边之比为,则该三角形最大角为

A. B. C. D.

练习册系列答案
相关习题

科目:高中数学 来源:2015-2016学年江苏省泰州市姜堰区高一上学期期中考试数学试卷(解析版) 题型:填空题

著名的函数,则=_________.

查看答案和解析>>

科目:高中数学 来源:2016届湖南省常德市高三上第五次月考理科数学试卷(解析版) 题型:选择题

已知满足约束条件,若的最大值为4,则( )

(A)3 (B)2 (C)-2 (D)-3

查看答案和解析>>

科目:高中数学 来源:2016届湖南省长沙市高三上学期月考五文科数学试卷(解析版) 题型:选择题

德国著名数学家狄利克雷在数学领域成就卓著,以其名命名的函数被称为狄利克雷函数,则关于函数f(x)有如下四个命题:

②函数f(x)是偶函数;

③任何一个不为零的有理数T,f(x+T)=f(x)对任意的恒成立;

④存在三个点,使得△ABC为等边三角形.

其中证明题的个数是

A.1 B.2 C.3 D.4

查看答案和解析>>

科目:高中数学 来源:2015-2016学年云南省蒙自市高二10月月考文科数学试卷(解析版) 题型:选择题

若直线过圆的圆心,且与直线垂直,则的方程是

A. B.

C. D.

查看答案和解析>>

科目:高中数学 来源:2015-2016学年四川省雅安市高二11月月考文科数学试卷(解析版) 题型:填空题

长方体棱长分别为,则其外接球的表面积是 ___ __________.

查看答案和解析>>

科目:高中数学 来源:2015-2016学年四川省雅安市高二11月月考理科数学试卷(解析版) 题型:选择题

若直线与圆相交,则 ( )

A.在圆上 B.在圆外 C.在圆内 D.以上都有可能

查看答案和解析>>

科目:高中数学 来源:2015-2016学年江苏省南通市高二上学期期中考试数学试卷(解析版) 题型:填空题

双曲线的渐近线方程是

查看答案和解析>>

科目:高中数学 来源:2015-2016学年福建三明一中高二上第二次月考理科数学卷(解析版) 题型:选择题

是函数的导函数,将的图象画在同一个直角坐标系中,不可能正确的是( )

查看答案和解析>>

同步练习册答案