精英家教网 > 高中数学 > 题目详情

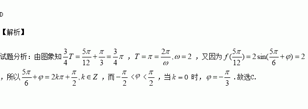
函数的部分图像如图所示,则这个函数的周期和初相分别是( )

A. B. C. D.

练习册系列答案
相关习题

科目:高中数学 来源:2015-2016学年湖南省益阳市高二上12月月考文科数学试卷(解析版) 题型:解答题

(2014•茂名二模)已知对称中心为坐标原点的椭圆C1与抛物线C2:x2=4y有一个相同的焦点F1,直线l:y=2x+m与抛物线C2只有一个公共点.

(1)求直线l的方程;

(2)若椭圆C1经过直线l上的点P,当椭圆C1的离心率取得最大值时,求椭圆C1的方程及点P的坐标.

查看答案和解析>>

科目:高中数学 来源:2015-2016学年内蒙古赤峰市高一9月月考数学试卷(解析版) 题型:填空题

设集合都是的子集,已知(,(,则等于

查看答案和解析>>

科目:高中数学 来源:2015-2016学年江西省高一上第二次段考数学试卷(解析版) 题型:解答题

已知函数.

(I)求函数的最小值;

(II)若,求的值.

查看答案和解析>>

科目:高中数学 来源:2015-2016学年江西省高一上第二次段考数学试卷(解析版) 题型:选择题

若角终边上有一点的坐标为,则可能是( )

A.3 B. C. D.

查看答案和解析>>

科目:高中数学 来源:2015-2016学年江西省高一上第二次段考数学试卷(解析版) 题型:选择题

已知集合,则为( )

A. B. C. D.

查看答案和解析>>

科目:高中数学 来源:2016届江苏省高三12月月考数学试卷(解析版) 题型:解答题

如图,在平面直角坐标系xOy中,已知椭圆

离心率为,且右焦点F到左准线l的距离为

(Ⅰ)求椭圆的标准方程;

(Ⅱ)(1)设椭圆上的任一点,从原点向圆引两条

切线,设两条切线的斜率分别为,当为定值时求的值;

(2)在(1)的条件下,当两条切线分别交椭圆于时,试探究是否为定值,若是,求出其值;若不是,请说明理由.

查看答案和解析>>

科目:高中数学 来源:2016届江苏省高三12月月考数学试卷(解析版) 题型:填空题

已知集合,则

查看答案和解析>>

科目:高中数学 来源:2015-2016学年山东省高二上学情调查理科数学卷(解析版) 题型:解答题

中,内角A,B,C所对的边分别为a,b,c,已知

(1)求证:a,b,c成等比数列;

(2)若,求的面积S.

查看答案和解析>>

同步练习册答案