精英家教网 > 高中数学 > 题目详情

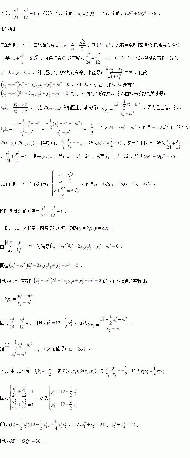
如图,在平面直角坐标系xOy中,已知椭圆

离心率为,且右焦点F到左准线l的距离为

(Ⅰ)求椭圆的标准方程;

(Ⅱ)(1)设椭圆上的任一点,从原点向圆引两条

切线,设两条切线的斜率分别为,当为定值时求的值;

(2)在(1)的条件下,当两条切线分别交椭圆于时,试探究是否为定值,若是,求出其值;若不是,请说明理由.

练习册系列答案
相关习题

科目:高中数学 来源:2015-2016学年河南省高二上12月月考文科数学试卷(解析版) 题型:解答题

(2013秋•郊区校级期末)已知函数f(x)=x2+xlnx.

(1)求f′(x);

(2)求函数f(x)图象上的点P(1,1)处的切线方程.

查看答案和解析>>

科目:高中数学 来源:2016届江苏省高三上第十八周周练数学试卷(解析版) 题型:填空题

某校高一年级有900名学生,其中女生400名,按男女比例用分层抽样的方法,从该年级学生

中抽取一个容量为45的样本,则应抽取的男生人数为________.

查看答案和解析>>

科目:高中数学 来源:2015-2016学年江西省高一上第二次段考数学试卷(解析版) 题型:选择题

函数的部分图像如图所示,则这个函数的周期和初相分别是( )

A. B. C. D.

查看答案和解析>>

科目:高中数学 来源:2016届江苏省高三12月月考数学试卷(解析版) 题型:解答题

抛掷甲,乙两枚质地均匀且四面上分别标有1,2,3,4的正四面体,其底面落于桌面,记底面上所得的数字分别为x,y.记表示的整数部分,如:,设为随机变量,

(Ⅰ)求概率

(Ⅱ)求的分布列,并求其数学期望

查看答案和解析>>

科目:高中数学 来源:2016届江苏省高三12月月考数学试卷(解析版) 题型:填空题

集合,则集合中的元素

个数为

查看答案和解析>>

科目:高中数学 来源:2016届江苏省高三12月月考数学试卷(解析版) 题型:填空题

已知三个球的半径满足,记它们的表面积分别为,若,则

查看答案和解析>>

科目:高中数学 来源:2016届安徽省高三上第五次月考文科数学试卷(解析版) 题型:选择题

已知是椭圆的左右焦点,P是椭圆上任意一点,过的外角平分线PQ的垂线,垂足为Q,则点Q的轨迹为( )

A.直线 B.圆 C.椭圆 D.双曲线

查看答案和解析>>

科目:高中数学 来源:2016届河北省高三上学期期中考试文科数学试卷(解析版) 题型:填空题

已知平面向量a、b,|a|=1,|b|=,且|2a+b|=,则向量a与向量a+b的夹角为

查看答案和解析>>

同步练习册答案