精英家教网 > 高中数学 > 题目详情

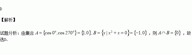
已知集合,则为( )

A. B. C. D.

练习册系列答案
相关习题

科目:高中数学 来源:2015-2016学年湖南省益阳市高二上12月月考文科数学试卷(解析版) 题型:选择题

(2015•贵州模拟)已知双曲线x2+my2=1的虚轴长是实轴长的两倍,则实数m的值是( )

A.4 B. C. D.﹣4

查看答案和解析>>

科目:高中数学 来源:2015-2016学年福建省宁德市高一上学期期中考试数学试卷(解析版) 题型:填空题

集合的子集个数为

查看答案和解析>>

科目:高中数学 来源:2015-2016学年江西省高一上第二次段考数学试卷(解析版) 题型:填空题

已知集合,若,则实数的取值范围是,其中

查看答案和解析>>

科目:高中数学 来源:2015-2016学年江西省高一上第二次段考数学试卷(解析版) 题型:选择题

函数的部分图像如图所示,则这个函数的周期和初相分别是( )

A. B. C. D.

查看答案和解析>>

科目:高中数学 来源:2016届江苏省高三12月月考数学试卷(解析版) 题型:解答题

已知数列为等差数列,的前和为,数列为等

比数列,且对任意的恒成立.

(Ⅰ)求数列的通项公式;

(Ⅱ)是否存在非零整数,使不等式对一切都成立?若存在,求出的值;若不存在,说明理由.

(Ⅲ)各项均为正整数的无穷等差数列,满足,且存在正整数k,使成等比数列,若数列的公差为d,求d的所有可能取值之和.

查看答案和解析>>

科目:高中数学 来源:2016届江苏省高三12月月考数学试卷(解析版) 题型:填空题

集合,则集合中的元素

个数为

查看答案和解析>>

科目:高中数学 来源:2016届安徽省高三上第五次月考文科数学试卷(解析版) 题型:解答题

已知点M到点的距离比到点M到直线的距离小4.

(1)求点M的轨迹C的方程;

(2)若曲线C上存在两点A,B关于直线对称,求直线AB的方程.

查看答案和解析>>

科目:高中数学 来源:2015-2016学年四川省高二上期中理科数学试卷(解析版) 题型:填空题

设m∈R,过定点A的动直线x+my=0和过定点B的直线mx﹣y﹣m+3=0交于点P(x,y),则 的最大值是

查看答案和解析>>

同步练习册答案