精英家教网 > 高中数学 > 题目详情
设函数f(x)=x3-(1+a)x2+4ax+24a,其中常数a>1.
(Ⅰ)讨论f(x)的单调性;
(Ⅱ)若当x≥0时,f(x)>0恒成立,求a的取值范围.
解:(I)f′(x)=x2-2(1+a)x+4a=(x-2)(x-2a),
由a>1知,当x<2时,f′(x)>0,故f(x)在区间(-∞,2)是增函数;
当2<x<2a时,f′(x)<0,故f(x)在区间(2,2a)是减函数;
当x>2a时,f′(x)>0,故f(x)在区间(2a,+∞)是增函数,
综上,当a>1时,f(x)在区间(-∞,2)和(2a,+∞)是增函数,在区间(2,2a)是减函数.
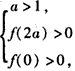
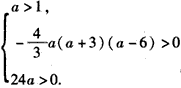
(Ⅱ)由(I)知,当x≥0时,f(x)在x=2a或x=0处取得最小值,
f(2a)=(2a)3-(1+a)(2a)2+4a·2a+24a
由假设知,即
解得1<a<6,
故a的取值范围是(1,6).
练习册系列答案
相关习题

科目:高中数学 来源: 题型:

设函数f(x)=x3-
92
x2+6x-a

(1)对于任意实数x,f′(x)≥m恒成立,求m的最大值;
(2)若方程f(x)=0有且仅有一个实根,求a的取值范围.

查看答案和解析>>

科目:高中数学 来源: 题型:

设函数f(x)=x3-(
12
)x-2
,则其零点所在区间为
 

查看答案和解析>>

科目:高中数学 来源: 题型:

设函数f(x)=x3-(
1
2
)x-2
,则其零点所在区间为(  )
A、(0,1)
B、(1,2)
C、(2,3)
D、(3,4)

查看答案和解析>>

科目:高中数学 来源: 题型:

设函数f(x)=x3-tx+
t-1
2
,t∈R

(I)试讨论函数f(x)在区间[0,1]上的单调性:
(II)求最小的实数h,使得对任意x∈[0,1]及任意实数t,f(x)+|
t-1
2
|+h≥0
恒成立.

查看答案和解析>>

科目:高中数学 来源: 题型:

设函数f(x)=
x
3
 
-3a
x
2
 
+3bx
的图象与直线12x+y-1=0相切于点(1,-11).
(I)求a,b的值;
(II)如果函数g(x)=f(x)+c有三个不同零点,求c的取值范围.

查看答案和解析>>

同步练习册答案