精英家教网 > 高中数学 > 题目详情

选修4-5:不等式选讲

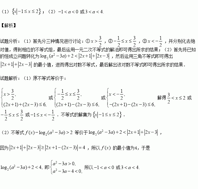
已知函数

(1)求不等式的解集;

(2)若关于的不等式恒成立,求实数的取值范围.

练习册系列答案
相关习题

科目:高中数学 来源:2015-2016学年山东省高一上学期期中考试数试卷(解析版) 题型:解答题

已知指数函数满足:,定义域为的函数是奇函数.

(1)确定的解析式;

(2)判断函数的单调性,并用定义证明;

(3)若对于任意,都有成立,求的取值范围.

查看答案和解析>>

科目:高中数学 来源:2015-2016学年广东汕头市高二10月月考数学卷(解析版) 题型:选择题

中三边上的高依次为,则为( )

A.锐角三角形 B.直角三角形

C.钝角三角形 D.不存在这样的三角形

查看答案和解析>>

科目:高中数学 来源:2015-2016学年吉林省扶余市高一上学期期中考试数学试卷(解析版) 题型:选择题

某几何体的正视图和侧视图如图所示,则该几何体的体积不可能是( )

A. B. C. D.1

查看答案和解析>>

科目:高中数学 来源:2015-2016学年陕西省西安市高二上学期期中考试文科数学试卷(解析版) 题型:选择题

设数列是这个数列的( )

A.第六项 B.第七项 C.第八项 D.第九项

查看答案和解析>>

科目:高中数学 来源:2016届河南省郑州市高三上学期联考文科数学试卷(解析版) 题型:选择题

已知向量,向量,若,则实数的值为( )

A.-2 B.3 C.1 D.-3

查看答案和解析>>

科目:高中数学 来源:2016届河南省郑州市高三上学期联考理科数学试卷(解析版) 题型:选择题

已知集合,则( )

A. B. C. D.

查看答案和解析>>

科目:高中数学 来源:2015-2016学年浙江省温州市高一上学期期中考试数学试卷(解析版) 题型:选择题

对于函数,若对任意,存在使得,且,则称上的“兄弟函数”.已知是定义在区间上的“兄弟函数”,那么函数在区间上的最大值为( )

A. B.2 C.4 D.

查看答案和解析>>

科目:高中数学 来源:2016上海复旦大学附中届高三上期中理科数学试卷(解析版) 题型:填空题

是一个非空集合,是一个以的某些子集为元素的集合,且满足:

(1)

(2)对于的任意子集,当时,

则称是集合的一个“集合类”。

例如:是集合的一个“集合类”

已知集合,则所有含的“集合类”的个数为       

查看答案和解析>>

同步练习册答案