精英家教网 > 高中数学 > 题目详情
已知等差数列{an}的公差d<0,若a3a7=21,a1+a9=10,则使前n项和Sn>0成立的最大正整数n是( )
A.9
B.10
C.18
D.19
【答案】分析:根据等差数列的性质,得到a1+a9=a3+a7=10,又a3a7=21,两者联立即可求出a3和a7的值,进而求出数列的首项a1和公差d的值,由a1和d写出等差数列的前n项和Sn,令Sn大于0列出关于n的不等式,求出不等式的解集得到n的取值范围,即可求出解集中的最大正整数n的值.
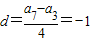
解答:解:a3+a7=a1+a9=10,
得:
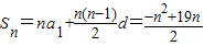
,a1=9,

,解得:n<19,
∴使Sn>0成立的最大正整数n是18.
故选C
点评:此题考查学生灵活运用等差数列的前n项和公式化简求值,掌握等差数列的性质,是一道基础题.学生在求a3和a7时注意判断a3和a7的大小.
练习册系列答案
相关习题

科目:高中数学 来源: 题型:

已知等差数列{an},公差d不为零,a1=1,且a2,a5,a14成等比数列;
(1)求数列{an}的通项公式;
(2)设数列{bn}满足bn=an3n-1,求数列{bn}的前n项和Sn

查看答案和解析>>

科目:高中数学 来源: 题型:

已知等差数列{an}中:a3+a5+a7=9,则a5=
 

查看答案和解析>>

科目:高中数学 来源: 题型:

已知等差数列{an}满足:a5=11,a2+a6=18.
(1)求{an}的通项公式;
(2)若bn=an+q an(q>0),求数列{bn}的前n项和Sn

查看答案和解析>>

科目:高中数学 来源: 题型:

已知等差数列{an}满足a2=0,a6+a8=-10
(1)求数列{an}的通项公式;     
(2)求数列{|an|}的前n项和;
(3)求数列{
an2n-1
}的前n项和.

查看答案和解析>>

科目:高中数学 来源: 题型:

精英家教网已知等差数列{an}中,a4a6=-4,a2+a8=0,n∈N*
(Ⅰ)求数列{an}的通项公式;
(Ⅱ)若{an}为递增数列,请根据如图的程序框图,求输出框中S的值(要求写出解答过程).

查看答案和解析>>

同步练习册答案