精英家教网 > 高中数学 > 题目详情
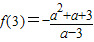
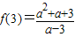
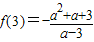
设函数f(x)是定义在R上的以5为周期的奇函数,若,则a的取值范围是( )
A.(-∞,-2)∪(0,3)
B.(-2,0)∪(3,+∞)
C.(-∞,-2)∪(0,+∞)
D.(-∞,0)∪(3,+∞)
【答案】分析:根据函数是以5为周期的奇函数,得f(2)=f(-3),结合函数为奇函数,得f(-3)=-.由此结合f(2)>1建立关于a的不等式,解之可得a的取值范围.
解答:解:∵函数f(x)以5为周期,∴f(2)=f(-3),
又∵,函数是奇函数
∴f(-3)=-
因此,f(2)=>1,解之得0<a<3或a<-2
故答案为:A
点评:本题在已知函数为奇函数且是周期函数的情况下,解关于a的不等式,考查了函数的奇偶性和周期性,以及不等式的解法等知识,属于基础题.
练习册系列答案
相关习题

科目:高中数学 来源: 题型:

设函数f(x)是定义在(-∞,+∞)上的增函数,如果不等式f(1-ax-x2)<f(2-a)对于任意x∈[0,1]恒成立,求实数a的取值范围.

查看答案和解析>>

科目:高中数学 来源: 题型:

设函数f(x)是定义在(0,+∞)上的减函数,并且满足f(xy)=f(x)+f(y),f(
1
3
)=1

(1)求f(
1
9
)

(2)若f(x)+f(2-x)<2,求x的取值范围.

查看答案和解析>>

科目:高中数学 来源: 题型:

设函数f(x)是定义在[-1,0)∪(0,1]上的偶函数,当x∈[-1,0)时,f(x)=x3-ax(a∈R).
(1)当x∈(0,1]时,求f(x)的解析式;
(2)若a>3,试判断f(x)在(0,1]上的单调性,并证明你的结论;
(3)是否存在a,使得当x∈(0,1]时,f(x)有最大值1?

查看答案和解析>>

科目:高中数学 来源: 题型:

设函数f(x)是定义在[a,b]上的奇函数,则f(a+b)=
0
0

查看答案和解析>>

科目:高中数学 来源: 题型:

设函数f(x)是定义在R上的偶函数.若当x≥0时,f(x)=
|1-
1
x
0
x>0;,
x=0.

(1)求f(x)在(-∞,0)上的解析式.
(2)请你作出函数f(x)的大致图象.
(3)当0<a<b时,若f(a)=f(b),求ab的取值范围.
(4)若关于x的方程f2(x)+bf(x)+c=0有7个不同实数解,求b,c满足的条件.

查看答案和解析>>

同步练习册答案