精英家教网 > 高中数学 > 题目详情
已知等差数列{an}中,a7+a8=16,a4=1,则a11=( )
A.15
B.30
C.31
D.64
【答案】分析:设出等差数列的首项和公差,根据给出的条件,结合通项公式列方程组求出首项和公差,然后代回等差数列的通项公式求得a11
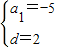
解答:解:设等差数列{an}的首项为a1,公差为d,
由a7+a8=16,a4=1得:
,解得:
所以,a11=a1+10d=-5+10×2=15.
故选A.
点评:本题考查了等差数列的通项公式,考查了学生的计算能力,是基础题.
练习册系列答案
相关习题

科目:高中数学 来源: 题型:

已知等差数列{an},公差d不为零,a1=1,且a2,a5,a14成等比数列;
(1)求数列{an}的通项公式;
(2)设数列{bn}满足bn=an3n-1,求数列{bn}的前n项和Sn

查看答案和解析>>

科目:高中数学 来源: 题型:

已知等差数列{an}中:a3+a5+a7=9,则a5=
 

查看答案和解析>>

科目:高中数学 来源: 题型:

已知等差数列{an}满足:a5=11,a2+a6=18.
(1)求{an}的通项公式;
(2)若bn=an+q an(q>0),求数列{bn}的前n项和Sn

查看答案和解析>>

科目:高中数学 来源: 题型:

已知等差数列{an}满足a2=0,a6+a8=-10
(1)求数列{an}的通项公式;     
(2)求数列{|an|}的前n项和;
(3)求数列{
an2n-1
}的前n项和.

查看答案和解析>>

科目:高中数学 来源: 题型:

精英家教网已知等差数列{an}中,a4a6=-4,a2+a8=0,n∈N*
(Ⅰ)求数列{an}的通项公式;
(Ⅱ)若{an}为递增数列,请根据如图的程序框图,求输出框中S的值(要求写出解答过程).

查看答案和解析>>

同步练习册答案