精英家教网 > 高中数学 > 题目详情

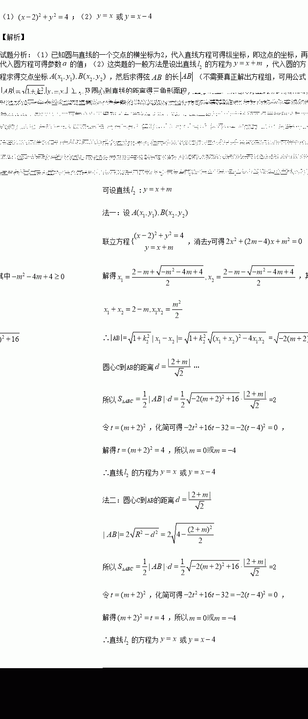
在直角坐标系xOy中,圆C:,圆心为C,圆C与直线的一个交点的横坐标为2.

(1)求圆C的标准方程;

(2)直线垂直,且与圆C交于不同两点A、B,若,求直线的方程.

练习册系列答案
相关习题

科目:高中数学 来源:2015-2016学年陕西省西安市高一上学期期中考试数学试卷(解析版) 题型:选择题

下列各组中,函数表示同一函数的一组是 ( )

A、

B、

C、

D、

查看答案和解析>>

科目:高中数学 来源:2016届江西省高三上学期第三次考试理科数学试卷(解析版) 题型:选择题

若函数的图像关于直线,则的最大值为( )

A.2 B. C. D.

查看答案和解析>>

科目:高中数学 来源:2015-2016学年江苏省高一上学期期中数学试卷(解析版) 题型:填空题

集合,若,则a+b=

查看答案和解析>>

科目:高中数学 来源:2015-2016学年安徽师大附中高二上学期期中文科数学试卷(解析版) 题型:填空题

直线与抛物线和圆从左到右的交点依次为,则的值为

查看答案和解析>>

科目:高中数学 来源:2015-2016学年四川省实验学校高二上学期期中理科数学试卷(解析版) 题型:解答题

已知直三棱柱的所有棱长都相等,且分别为的中点.

(1)求证:平面平面

(2)求证:平面C平面

查看答案和解析>>

科目:高中数学 来源:2015-2016学年陕西省西安市高二上学期期中考试理科数学试卷(解析版) 题型:选择题

在三角形ABC中,已知A,b=1,其面积为,则为( )

A. B. C. D.

查看答案和解析>>

科目:高中数学 来源:2015-2016学年黑龙江省高二上学期期中数学试卷(解析版) 题型:选择题

已知直线的方程为,则下列叙述正确的是( )

A.直线不经过第一象限 B.直线不经过第二象限

C.直线不经过第三象限 D.直线不经过第四象限

查看答案和解析>>

科目:高中数学 来源:2015-2016学年吉林省扶余市高二上学期期中考试理科数学试卷(解析版) 题型:解答题

如下图,互相垂直的两条公路旁有一矩形花园,现欲将其扩建成一个更大的三角形花园,要求点在射线上,点在射线上,且直线过点,其中米,米.记三角形花园的面积为

(Ⅰ)问:取何值时,取得最小值,并求出最小值;

(Ⅱ)若不超过1764平方米,求长的取值范围.

查看答案和解析>>

同步练习册答案