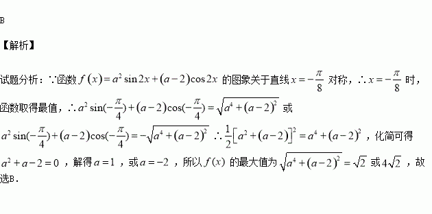
精英家教网 > 高中数学 > 题目详情

若函数的图像关于直线,则的最大值为( )

A.2 B. C. D.

练习册系列答案
相关习题

科目:高中数学 来源:2015-2016学年黑龙江哈尔滨师大附中高二上期中文数学卷(解析版) 题型:填空题

已知点,动点满足条件,则动点的轨迹方程

查看答案和解析>>

科目:高中数学 来源:2015-2016学年陕西省西安市高二上学期期中考试文科数学试卷(解析版) 题型:填空题

若正数满足,则的取值范围是

查看答案和解析>>

科目:高中数学 来源:2016届四川省成都市高三11月段测三理科数学试卷(解析版) 题型:填空题

式子tan20° +tan40°+tan20°tan40°的值是____.

查看答案和解析>>

科目:高中数学 来源:2016届江西省高三上学期第三次考试文科数学试卷(解析版) 题型:选择题

若将函数 的图象向右平移个单位,得到的图象关于y轴对称,则的最小值是( )

A. B. C. D.

查看答案和解析>>

科目:高中数学 来源:2015-2016学年浙江省高二上学期期中数学试卷(解析版) 题型:选择题

已知,且,若恒成立,则实数m的取值范围是( )

A. B. C. D.

查看答案和解析>>

科目:高中数学 来源:2015-2016学年西藏日喀则一中高二10月月考文数学试卷(解析版) 题型:选择题

若右面的程序框图输出的,则①应为( )

A. B.

C. D.

查看答案和解析>>

科目:高中数学 来源:2015-2016学年安徽师大附中高二上学期期中理科数学试卷(解析版) 题型:解答题

在直角坐标系xOy中,圆C:,圆心为C,圆C与直线的一个交点的横坐标为2.

(1)求圆C的标准方程;

(2)直线垂直,且与圆C交于不同两点A、B,若,求直线的方程.

查看答案和解析>>

科目:高中数学 来源:2015-2016学年湖南省高二上学期期中文科数学试卷(解析版) 题型:选择题

设数列{an}和{bn}都是等差数列,且a1=25,b1=75,a2+b2=100,那么由an+bn所组成的数列的第37项的值为( )

A.0 B.37 C.100 D.﹣37

查看答案和解析>>

同步练习册答案