精英家教网 > 高中数学 > 题目详情

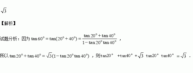
式子tan20° +tan40°+tan20°tan40°的值是____.

练习册系列答案
相关习题

科目:高中数学 来源:2015-2016学年吉林长春十一中高一上学期期中文科数学卷(解析版) 题型:解答题

(1)计算:

(2)解方程:

查看答案和解析>>

科目:高中数学 来源:2015-2016学年陕西省西安市高一上学期期中考试数学试卷(解析版) 题型:选择题

下列各组中,函数表示同一函数的一组是 ( )

A、

B、

C、

D、

查看答案和解析>>

科目:高中数学 来源:2015-2016学年河南省英文学校高二上学期期中考试数学试卷(解析版) 题型:解答题

设锐角三角形ABC的内角A、B、C的对边分别为a、b、c,a=2bsin A.

(1)求角B的大小;

(2)若a=3,c=5,求b.

查看答案和解析>>

科目:高中数学 来源:2016届四川省成都市高三11月段测三文科数学试卷(解析版) 题型:填空题

己知向量满足||=||=2且,则向量的夹角为

查看答案和解析>>

科目:高中数学 来源:2016届江西省高三上学期第三次考试文科数学试卷(解析版) 题型:填空题

已知变量满足约束条件,若的最大值为5,且为负整数,则=____________.

查看答案和解析>>

科目:高中数学 来源:2016届江西省高三上学期第三次考试理科数学试卷(解析版) 题型:选择题

若函数的图像关于直线,则的最大值为( )

A.2 B. C. D.

查看答案和解析>>

科目:高中数学 来源:2015-2016学年江苏省高一上学期期中数学试卷(解析版) 题型:填空题

集合,若,则a+b=

查看答案和解析>>

科目:高中数学 来源:2015-2016学年黑龙江省高二上学期期中数学试卷(解析版) 题型:选择题

已知直线的方程为,则下列叙述正确的是( )

A.直线不经过第一象限 B.直线不经过第二象限

C.直线不经过第三象限 D.直线不经过第四象限

查看答案和解析>>

同步练习册答案