精英家教网 > 高中数学 > 题目详情

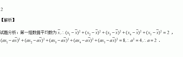
已知一组数据的方差是2,另一组数据)的标准差是,则

练习册系列答案
相关习题

科目:高中数学 来源:2016-2017学年河北武邑中学高一9月月考数学试卷(解析版) 题型:解答题

已知函数是奇函数,且

(1)求函数的解析式;

(2)判断函数上的单调性,并加以证明.

查看答案和解析>>

科目:高中数学 来源:2016-2017学年安徽六安一中高二理上国庆作业数学试卷(解析版) 题型:解答题

在等差数列中,

(1)数列的前多少项和最大?

(2)求数列的前项和

查看答案和解析>>

科目:高中数学 来源:2016-2017学年安徽六安一中高二理上国庆作业数学试卷(解析版) 题型:选择题

一个机器猫每秒钟前进或后退1步,程序设计人员让机器猫以每前进3步后再后退2步的规律移动;如果将此机器猫放在数轴的原点,面向正方向,以1步的距离为1个单位长,令表示第秒时机器猫所在的位置的坐标,且,那么下列结论中错误的是( )

A. B. C. D.

查看答案和解析>>

科目:高中数学 来源:2015-2016学年湖北荆州市高二下质量检测数学试卷(解析版) 题型:解答题

已知函数

(1)当时,求函数的单调区间;

(2)若关于的不等式上有解,求实数的取值范围.

查看答案和解析>>

科目:高中数学 来源:2015-2016学年湖北荆州市高二下质量检测数学试卷(解析版) 题型:选择题

已知双曲线),以双曲线的一个顶点为圆心,为半径的圆被双曲线截得劣弧长为,则双曲线的离心率为( )

A. B.

C. D.

查看答案和解析>>

科目:高中数学 来源:2015-2016学年湖北荆州市高二下质量检测数学试卷(解析版) 题型:选择题

已知是空间中两个不同的平面,为平面内的一条直线,则“”是“”的( )

A.充分不必要条件 B.必要不充分条件

C.充要条件 D.既不充分也不必要条件

查看答案和解析>>

科目:高中数学 来源:2016-2017学年江西南昌市高三新课标一轮复习二数学试卷(解析版) 题型:选择题

已知上的奇函数,当时,,函数 ,若,则实数的取值范围是( )

A. B.

C. D.

查看答案和解析>>

科目:高中数学 来源:2015-2016学年四川成都石室中学高一下期中数学试卷(解析版) 题型:选择题

关于的不等式在区间上恒成立,则实数的取值范围是( )

A. B. C. D.

查看答案和解析>>

同步练习册答案