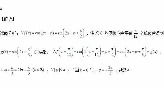
精英家教网 > 高中数学 > 题目详情

已知函数的图象向右平移个单位后得到的图象,则的值为( )

A、- B、- C、 D、

练习册系列答案
相关习题

科目:高中数学 来源:2015-2016学年湖北省黄石市高二10月月考文科数学试卷(解析版) 题型:选择题

不等式对任意恒成立,则实数的取值范围是 ( )

A.

B.

C.

D.w

查看答案和解析>>

科目:高中数学 来源:2014-2015学年河北省高一5月月考数学试卷(解析版) 题型:填空题

如图所示的等腰直角三角形表示一个水平放置的平面图形的直观图,则这个平面图形的面积是________

查看答案和解析>>

科目:高中数学 来源:2014-2015学年山西省高一下期末数学试卷(解析版) 题型:选择题

在ΔABC中,若·= ·= ·,则该三角形是

A.等腰三角形 B.直角三角形 C.等腰直角三角形 D.等边三角形

查看答案和解析>>

科目:高中数学 来源:2016届云南省高三适应性月考二文科数学试卷(解析版) 题型:选择题

一个棱锥的三视图如图所示,其中侧视图为正三角形,则该四棱锥的体积是( )

A、 B、 C、 D、

查看答案和解析>>

科目:高中数学 来源:2016届四川省高三上学期10月段考文科数学试卷(解析版) 题型:选择题

函数f(x)=ln (x +1) - 的一个零点所在的区间是( )

A. (0,1) B. (1,2) C. (2,3) D. (3,4)

查看答案和解析>>

科目:高中数学 来源:2016届四川省高三上学期10月段考理科数学试卷(解析版) 题型:选择题

设x∈R,则“l<x<2”是“|x - 2|<1”的( )

A.充分而不必要条件

B.必要而不充分条件

C.充要条件

D.既不充分也不必要条件

查看答案和解析>>

科目:高中数学 来源:2016届湖北武汉华中师大第一附中高三上期中考试文科数学试卷(解析版) 题型:解答题

(本小题满分12分)已知数列的前n项和为

(1)证明:数列是等差数列,并求

(2)设,求证:

查看答案和解析>>

科目:高中数学 来源:2016届江苏省高三九月月考数学试卷(解析版) 题型:填空题

函数的定义域为

查看答案和解析>>

同步练习册答案