精英家教网 > 高中数学 > 题目详情
已知定义在R上的函数f(x)=x2(ax﹣3),其中a为常数.
(1)若x=1是函数f(x)的一个极值点,求a的值;
(2)若函数f(x)在区间(﹣1,0)上是增函数,求a的取值范围;
(3)若函数g(x)=f(x)+f'(x),x∈[0,2],在x=0处取得最大值,求正数a的取值范围.
解:(1)∵f(x)=ax3﹣3x2
∴f'(x)=3ax2﹣6x=3x(ax﹣2).
∵x=1是f(x)的一个极值点,
∴f'(1)=0,
∴a=2
(2)①当a=0时
f(x)=﹣3x2在区间(﹣1,0)上是增函数
∴a=0符合题意;
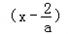
②当a≠0时,f'(x)=3ax
令f'(x)=0得:x1=0,x2=
当a>0时,对任意x∈(﹣1,0),f'(x)>0,
∴a>0 (符合题意)
当a<0时,当时f'(x)>0,

∴﹣2≤a<0(符合题意)
综上所述,a≥﹣2.
(3)a>0,g(x)=ax3+(3a﹣3)x2﹣6x,x∈[0,2].
g'(x)=3ax2+2(3a﹣3)x﹣6=3[ax2+2(a﹣1)x﹣2],
令g'(x)=0,即ax2+2(a﹣1)x﹣2=0(*),显然有△=4a2+4>0.
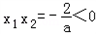
设方程(*)的两个根为x1,x2,由(*)式得
不妨设x1<0<x2
当0<x2<2时,g(x2)为极小值
所以g(x)在[0,2]上的最大值只能为g(0)或g(2)
当x2≥2时,由于g(x)在[0,2]上是单调递减函数所以最大值为g(0),
所以在[0,2]上的最大值只能为g(0)或g(2)
又已知g(x)在x=0处取得最大值
所以g(0)≥g(2)
即0≥20a﹣24,解得a≤
又因为a>0,所以
练习册系列答案
相关习题

科目:高中数学 来源: 题型:

已知定义在R上的函数y=f(x)满足下列条件:
①对任意的x∈R都有f(x+2)=f(x);
②若0≤x1<x2≤1,都有f(x1)>f(x2);
③y=f(x+1)是偶函数,
则下列不等式中正确的是(  )

查看答案和解析>>

科目:高中数学 来源: 题型:

已知定义在R上的函数f(x)满足:f(x)=
f(x-1)-f(x-2),x>0
log2(1-x),       x≤0
  则:
①f(3)的值为
0
0

②f(2011)的值为
-1
-1

查看答案和解析>>

科目:高中数学 来源: 题型:

已知定义在R上的函数f(x)满足f(x+1)=-f(x),且x∈(-1,1]时f(x)=
1,(-1<x≤0)
-1,(0<x≤1)
,则f(3)=(  )

查看答案和解析>>

科目:高中数学 来源: 题型:

已知定义在R上的函数f(x)是偶函数,对x∈R都有f(2+x)=f(2-x),当f(-3)=-2时,f(2013)的值为(  )
A、-2B、2C、4D、-4

查看答案和解析>>

科目:高中数学 来源: 题型:

已知定义在R上的函数f(x),对任意x∈R,都有f(x+6)=f(x)+f(3)成立,若函数y=f(x+1)的图象关于直线x=-1对称,则f(2013)=(  )
A、0B、2013C、3D、-2013

查看答案和解析>>

同步练习册答案