精英家教网 > 高中数学 > 题目详情
已知双曲线的中心在原点,对称轴为坐标轴,过点P(3 ,-1) ,一条渐近线与直线3x-y=2 平行,求双曲线标准方程.
解:(1)若双曲线的焦点在x轴上,
则由渐近线方程y=3x得,
∴b= 3a.
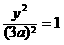
故可设双曲线的标准方程为
又双曲线过点P(3,-1),
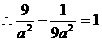
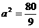
,解得,
∴b2=80.
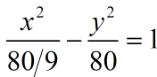
∴所求双曲线的标准方程为
(2)若双曲线的焦点在y轴上,
则由渐近线方程y=3x得
∴a=3b.
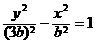
故可设双曲线的标准方程为
∵点P(3,-1)在双曲线上,,解得9b2=-80,不合题意.
综上所述,所求双曲线的标准方程是
练习册系列答案
相关习题

科目:高中数学 来源: 题型:

已知双曲线的中心在原点,焦点F1,F2在坐标轴上,离心率为
2
,且过点(4,-
10
)
,则双曲线的标准方程是
x2-y2=6
x2-y2=6

查看答案和解析>>

科目:高中数学 来源: 题型:

已知双曲线的中心在原点,焦点为F1(5,0),F2(-5,0),且过点(3,0),
(1)求双曲线的标准方程.
(2)求双曲线的离心率及准线方程.

查看答案和解析>>

科目:高中数学 来源: 题型:

已知双曲线的中心在原点,焦点F1,F2在坐标轴上,一条渐近线方程为y=x,且过点(4,-
10
)

(1)求双曲线方程;
(2)设A点坐标为(0,2),求双曲线上距点A最近的点P的坐标及相应的距离|PA|.

查看答案和解析>>

科目:高中数学 来源: 题型:

已知双曲线的中心在原点,焦点F1,F2在坐标轴上,一条渐近线方程为y=x,且过点(4,-
10
)
,A点坐标为(0,2),则双曲线上距点A距离最短的点的坐标是
7
,1)
7
,1)

查看答案和解析>>

科目:高中数学 来源: 题型:

(2012•丰台区一模)已知双曲线的中心在原点,焦点在x轴上,一条渐近线方程为y=
3
4
x
,则该双曲线的离心率是
5
4
5
4

查看答案和解析>>

同步练习册答案