精英家教网 > 高中数学 > 题目详情

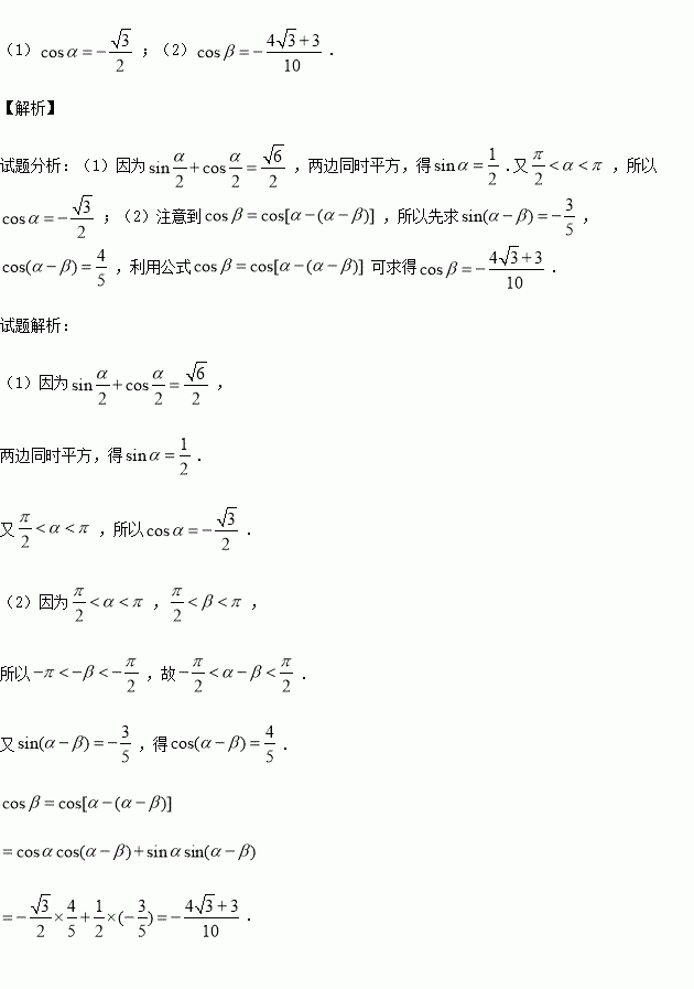
已知,且.

(1)求的值;

(2)若,求的值.

练习册系列答案
相关习题

科目:高中数学 来源:2015-2016学年广西河池市高一下月考一数学试卷(解析版) 题型:解答题

已知圆.

(1)求过定点的圆的切线方程;

(2)直线过点,且与圆交于两点,若,求直线的方程.

查看答案和解析>>

科目:高中数学 来源:2017届河南省天一大联考高三上学期段测一数学(文)试卷(解析版) 题型:选择题

半径为的球的体积与一个长、宽分别为6、4的长方体的体积相等,则长方体的表面积为( )

A.44 B.54 C.88 D.108

查看答案和解析>>

科目:高中数学 来源:2017届河南省天一大联考高三上学期段测一数学(理)试卷(解析版) 题型:选择题

已知实数,则关于的一元二次方程有实数根的概率是( )

A. B. C. D.

查看答案和解析>>

科目:高中数学 来源:2017届河南省天一大联考高三上学期段测一数学(理)试卷(解析版) 题型:选择题

为圆心,且与两条直线同时相切的圆的标准方程为( )

A. B.

C. D.

查看答案和解析>>

科目:高中数学 来源:2017届河北武邑中学高三上学期周考8.21数学(文)试卷(解析版) 题型:填空题

已知锐角满足,则___________.

查看答案和解析>>

科目:高中数学 来源:2017届河北武邑中学高三上学期周考8.21数学(文)试卷(解析版) 题型:选择题

已知都是锐角,若,则等于( )

A. B. C. D.

查看答案和解析>>

科目:高中数学 来源:2017届河北武邑中学高三上学期周考8.21数学(理)试卷(解析版) 题型:选择题

( )

A. B. C. D.

查看答案和解析>>

科目:高中数学 来源:2017届重庆第八中学高三上学期第一次月考数学(文)试卷(解析版) 题型:选择题

已知函数是定义在上周期为3的奇函数,若,则( )

A. B. C. D.

查看答案和解析>>

同步练习册答案