精英家教网 > 高中数学 > 题目详情

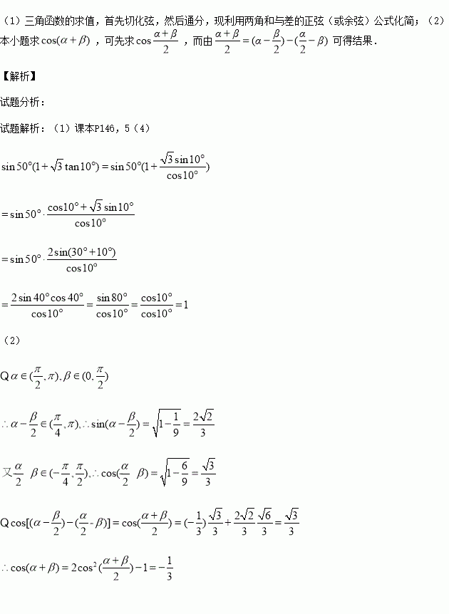
化简并计算:

(1)

(2) 已知的值.

练习册系列答案
相关习题

科目:高中数学 来源:2015-2016学年贵州思南中学高二下期中理科数学试卷(解析版) 题型:选择题

某同学同时抛掷两颗骰子一次,得到点数分别为,则形成椭圆且其离心率的概率是( )

A、 B、 C、 D、

查看答案和解析>>

科目:高中数学 来源:2015-2016学年宁夏石嘴山三中高二下期中文科数学试卷(解析版) 题型:选择题

“x=2”是“(x﹣2)•(x+5)=0”的( )

A.必要不充分条件 B.充分不必要条件

C.充要条件 D.既不充分也不必要条件

查看答案和解析>>

科目:高中数学 来源:2015-2016学年河北邢台一中高二下期中文科数学试卷(解析版) 题型:选择题

要证,只要证( )

A. B.

C. D.

查看答案和解析>>

科目:高中数学 来源:2015-2016学年河北邢台一中高二下期中文科数学试卷(解析版) 题型:选择题

已知变量x与y正相关,且由观测数据算得样本平均数x=3,y=3.5,则由该观测数据算得的线性回归方程可能是( )

A. B. C. D.

查看答案和解析>>

科目:高中数学 来源:2015-2016学年广东省高一下期中数学试卷(解析版) 题型:填空题

已知点,则向量方向上的投影为_________.

查看答案和解析>>

科目:高中数学 来源:2015-2016学年广东省高一下期中数学试卷(解析版) 题型:选择题

已知函数, 先将的图象上所有点的横坐标缩短到原来的倍(纵坐标不变),再将得到的图象上所有点向右平行移动)个单位长度,得到的图象关于直线x=对称, 则的最小值为( )

A. B. C. D.

查看答案和解析>>

科目:高中数学 来源:2015-2016学年重庆一中高一下学期期中数学试卷(解析版) 题型:选择题

的重心,,则( )

A. B.

C. D.

查看答案和解析>>

科目:高中数学 来源:2015-2016学年重庆巴蜀中学高二下期中理科数学试卷(解析版) 题型:填空题

将正整数排成如图三角形数阵,每排的数称为一个群,从上到下顺序为第一群,第二群,…,第群,第群恰好有个数,则第群中个数的和为

查看答案和解析>>

同步练习册答案