精英家教网 > 高中数学 > 题目详情
曲线C是平面内与两个定点F1(-1,0)和F2(1,0)的距离的积等于常数a2(a>1)的点的轨迹.给出下列三个结论:
①曲线C过坐标原点;
②曲线C关于坐标原点对称;
③若点P在曲线C上,则△F1PF2的面积不大于a2
其中,所有正确结论的序号是   
【答案】分析:由题意曲线C是平面内与两个定点F1(-1,0)和F2(1,0)的距离的积等于常数a2(a>1),利用直接法,设动点坐标为(x,y),及可得到动点的轨迹方程,然后由方程特点即可加以判断.
解答:解:对于①,由题意设动点坐标为(x,y),则利用题意及两点间的距离公式的得:?[(x+1)2+y2]•[(x-1)2+y2]=a4(1)将原点代入验证,此方程不过原点,所以①错;
对于②,把方程中的x被-x代换,y被-y 代换,方程不变,故此曲线关于原点对称.②正确;
对于③,由题意知点P在曲线C上,则△F1PF2的面积
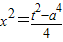
由(1)式平方化简的:y4+[(x+1)2+(x-1)2]y2+(x2-1)2-a4=0⇒(舍)  
把三角形的面积式子平方得: 对于(2)
 令
代入(2)得=
故可知a2 所以③正确.
故答案为:②③
点评:此题重点考查了利用直接法求出动点的轨迹方程,并化简,利用方程判断曲线的对称性及利用解析式选择换元法求出值域.
练习册系列答案
相关习题

科目:高中数学 来源: 题型:

曲线C是平面内与两个定点F1(-1,0)和F2(1,0)的距离的积等于常数a2(a>1)的点的轨迹.给出下列三个结论:
①曲线C过坐标原点;
②曲线C关于坐标原点对称;
③若点P在曲线C上,则△F1PF2的面积不大于
12
a2
其中,所有正确结论的序号是
 

查看答案和解析>>

科目:高中数学 来源: 题型:

曲线C是平面内与两个定点F1(-1,0)和F2(1,0)的距离的积等于常数a2(a>1)的点的轨迹,给出下列三个结论:
①曲线C过坐标原点;
②曲线C关于坐标原点对称;
③若点P在曲线C上,
则V F1PF2的面积不大于
1
2
a2正确的个数是(  )

查看答案和解析>>

科目:高中数学 来源: 题型:

曲线C是平面内与两个定点F1(-2,0)和F2(2,0)的斜率之积为
1
2
的点的轨迹,P为曲线C上的点.给出下列四个结论:
①直线y=k(x+2)与曲线C一定有交点;
②曲线C关于原点对称;
③|PF1|-|PF2|为定值;
④△PF1F2的面积最大值为2
2
.其中正确结论的序号是

查看答案和解析>>

科目:高中数学 来源:2012-2013学年四川省雅安中学高二(下)4月月考数学试卷(理科)(解析版) 题型:填空题

曲线C是平面内与两个定点F1(-1,0)和F2(1,0)的距离的积等于常数a2(a>1)的点的轨迹.给出下列三个结论:
①曲线C过坐标原点;
②曲线C关于坐标原点对称;
③若点P在曲线C上,则△F1PF2的面积不大于a2
其中,所有正确结论的序号是   

查看答案和解析>>

科目:高中数学 来源:2011-2012学年湖南师大附中高二(上)期中数学试卷(理科)(解析版) 题型:填空题

曲线C是平面内与两个定点F1(-1,0)和F2(1,0)的距离的积等于常数a2(a>1)的点的轨迹.给出下列三个结论:
①曲线C过坐标原点;
②曲线C关于坐标原点对称;
③若点P在曲线C上,则△F1PF2的面积不大于a2
其中,所有正确结论的序号是   

查看答案和解析>>

同步练习册答案