精英家教网 > 高中数学 > 题目详情

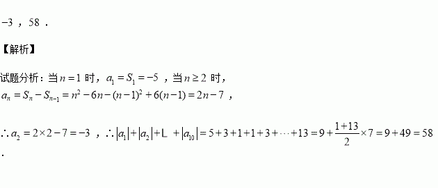
数列的前项和为,则 ;数列的前10项和

练习册系列答案
相关习题

科目:高中数学 来源:2015-2016学年广东省高一上学期期中考试数学试卷(解析版) 题型:选择题

函数在同一直角坐标系下的图象大致是( )

查看答案和解析>>

科目:高中数学 来源:2016届山东师大附中高三上学期二模理科数学试卷(解析版) 题型:解答题

(本题满分12分)已知是函数图象的一条对称轴.

(1)求a的值;

(2)求函数的单调增区间;

(3)作出函数上的图象简图(列表,画图).

查看答案和解析>>

科目:高中数学 来源:2016届福建省高三第一次月考文科数学试卷(解析版) 题型:解答题

(本小题满分12分)已知向量a=,b=(1,2),a与b共线;

(1)求的值;

(2)求的值。

查看答案和解析>>

科目:高中数学 来源:2016届福建省高三第一次月考理科数学试卷(解析版) 题型:选择题

是奇函数,且在处有意义,则该函数为( )

A.上的减函数

B.上的增函数

C.上的减函数

D.上的增函数

查看答案和解析>>

科目:高中数学 来源:2014-2015学年浙江宁波效实中学高三上学期期中理科数学试卷(解析版) 题型:填空题

已知均为正实数,且,则的最小值为

查看答案和解析>>

科目:高中数学 来源:2015-2016学年四川成都七中高二10月段考文科数学试卷(解析版) 题型:选择题

已知变量满足约束条件,则的最大值为( )

A. B. C. D.

查看答案和解析>>

科目:高中数学 来源:2014-2015学年四川省高一下学期月考测文科数学试卷(解析版) 题型:解答题

(12分)设的三个内角分别为共线(Ⅰ)求角的大小(Ⅱ)设角的对边分别是,且满足,试判断的形状

查看答案和解析>>

科目:高中数学 来源:2014-2015学年四川省眉山市高一下学期期末考试数学试卷(解析版) 题型:填空题

如图2所示,向量 (用表示).

查看答案和解析>>

同步练习册答案