精英家教网 > 高中数学 > 题目详情

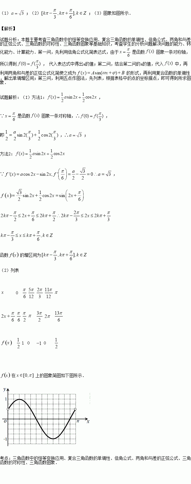
(本题满分12分)已知是函数图象的一条对称轴.

(1)求a的值;

(2)求函数的单调增区间;

(3)作出函数上的图象简图(列表,画图).

练习册系列答案
相关习题

科目:高中数学 来源:2015-2016学年河北省高二10月月考文科数学试卷(解析版) 题型:选择题

如图,在半径为R的圆内随机撒一粒黄豆,它落在圆的内接正三角形(阴影部分)内的概率是( )

A. B. C. D.

查看答案和解析>>

科目:高中数学 来源:2015-2016学年广东省高二上学期期中考试理科数学试卷(解析版) 题型:选择题

海南岛购物免税在十一期间异常火爆,现对某商场10月2日9时至14时的销售额进行统计,其频率分布直方图如图所示,已知9时至11时的销售额为5万元,则11时至12时的销售额为( )

A.12万元 B.10万元 C.8万元 D.6万元

查看答案和解析>>

科目:高中数学 来源:2016届云南省高三上学期第一次月考理科数学试卷(解析版) 题型:解答题

(12分)设函数

(1)若关于的不等式有实数解,求实数的取值范围;

(2)设,若关于的方程至少有一个解,求 的最小值.

(3)证明不等式:

查看答案和解析>>

科目:高中数学 来源:2016届山东师大附中高三上学期二模文科数学试卷(解析版) 题型:填空题

,内角A,B的对边分别为,则三角形ABC的形状为________.

查看答案和解析>>

科目:高中数学 来源:2016届黑龙江哈尔滨六中高三上期中文科数学试卷(解析版) 题型:解答题

已知函数).

(1)若,求曲线在点处的切线方程;

(2)若不等式对任意恒成立,求实数的取值范围;

查看答案和解析>>

科目:高中数学 来源:2016届黑龙江哈尔滨六中高三上期中理科数学试卷(解析版) 题型:填空题

中,角的对边分别为,若,则

查看答案和解析>>

科目:高中数学 来源:2014-2015学年浙江宁波效实中学高三上学期期中文科数学试卷(解析版) 题型:填空题

数列的前项和为,则 ;数列的前10项和

查看答案和解析>>

科目:高中数学 来源:2014-2015学年浙江省嵊州市高一竞赛数学试卷(解析版) 题型:填空题

表示集合中元素的个数,定义已知,若,则实数的取值范围为

查看答案和解析>>

同步练习册答案