精英家教网 > 高中数学 > 题目详情

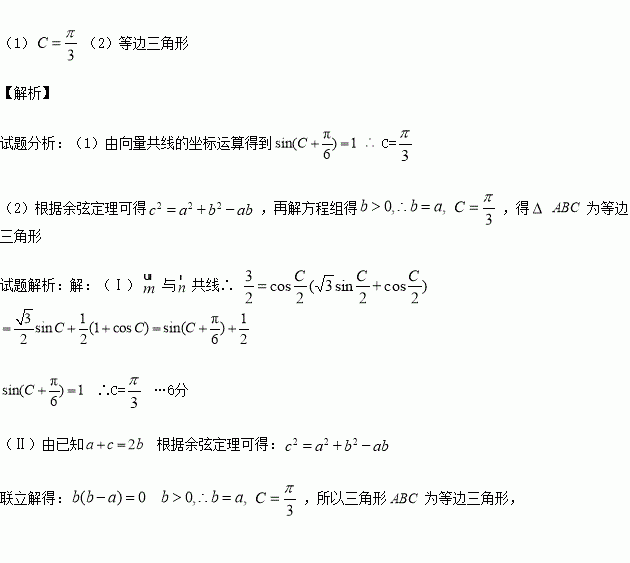
(12分)设的三个内角分别为共线(Ⅰ)求角的大小(Ⅱ)设角的对边分别是,且满足,试判断的形状

练习册系列答案
相关习题

科目:高中数学 来源:2016届云南省高三上学期第一次月考理科数学试卷(解析版) 题型:解答题

(12分)设函数

(1)若关于的不等式有实数解,求实数的取值范围;

(2)设,若关于的方程至少有一个解,求 的最小值.

(3)证明不等式:

查看答案和解析>>

科目:高中数学 来源:2014-2015学年浙江宁波效实中学高三上学期期中文科数学试卷(解析版) 题型:填空题

数列的前项和为,则 ;数列的前10项和

查看答案和解析>>

科目:高中数学 来源:2015-2016学年四川成都七中高二10月段考理科数学试卷(解析版) 题型:选择题

己知函数内恒为正值,则的取值范围是( )

A. B. C. D.

查看答案和解析>>

科目:高中数学 来源:2015-2016学年江苏省高一上期中考试数学试卷(解析版) 题型:解答题

(本题满分16分)已知函数)在区间上有最大值和最小值.设

(1)求的值;

(2)若不等式上恒成立,求实数的取值范围;

(3)若有三个不同的实数解,求实数的取值范围.

查看答案和解析>>

科目:高中数学 来源:2014-2015学年四川省高一下学期月考测文科数学试卷(解析版) 题型:选择题

已知数列的通项公式为,则的值是( )

A.9 B.13 C.17 D.21

查看答案和解析>>

科目:高中数学 来源:2014-2015学年浙江省嵊州市高一竞赛数学试卷(解析版) 题型:填空题

表示集合中元素的个数,定义已知,若,则实数的取值范围为

查看答案和解析>>

科目:高中数学 来源:2014-2015学年浙江省嵊州市高二下期末检测理科数学B卷(解析版) 题型:选择题

若数列是首项为1,公比为的等比数列,则等于

A. B. C. D.

查看答案和解析>>

科目:高中数学 来源:2014-2015学年吉林省长春市高一下学期期末理科数学试卷(解析版) 题型:选择题

如图是一正方体被过棱的中点M、N和顶点A、D、C1的两个截面截去两个角后所得的几何体,则该几何体的正视图为( )

查看答案和解析>>

同步练习册答案