精英家教网 > 高中数学 > 题目详情

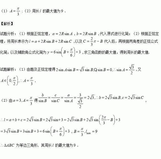
在锐角中, 角所对的边长分别为,且.

(1)求角的大小;

(2)若,求周长的最大值.

练习册系列答案
相关习题

科目:高中数学 来源:2016届吉林省高三下4月月考理科数学试卷(解析版) 题型:解答题

选修4-5:不等式选讲

设函数.

(1)求不等式的解集;

(2)若,不等式恒成立,求实数的取值范围.

查看答案和解析>>

科目:高中数学 来源:2015-2016学年海南省高一下第一次月考数学试卷(解析版) 题型:选择题

已知,且,则的值分别为( )

A. B. C. D.

查看答案和解析>>

科目:高中数学 来源:2015-2016学年贵州花溪清华中学高一6.25周练数学卷(解析版) 题型:选择题

已知三棱锥,在底面中,,则此三棱锥的外接球的表面积为( )

A. B. C. D.

查看答案和解析>>

科目:高中数学 来源:2015-2016学年贵州花溪清华中学高一6.25周练数学卷(解析版) 题型:选择题

,则( )

A. B.

C. D.

查看答案和解析>>

科目:高中数学 来源:2015-2016学年贵州花溪清华中学高一5.28周练数学卷(解析版) 题型:填空题

如图所示的是函数的图象的一部分, 则

查看答案和解析>>

科目:高中数学 来源:2015-2016学年贵州花溪清华中学高一5.28周练数学卷(解析版) 题型:选择题

某几何体的三视图如图所示, 则该几何体的表面积为( )

A. B. C. D.

查看答案和解析>>

科目:高中数学 来源:2016届山东省高三5月月考文科数学试卷(解析版) 题型:填空题

已知,且,则 ___________.

查看答案和解析>>

科目:高中数学 来源:2016届陕西洛南永丰中学高三考前最后一卷理数学试卷(解析版) 题型:填空题

已知实数满足的最大值是15,则______.

查看答案和解析>>

同步练习册答案