精英家教网 > 高中数学 > 题目详情

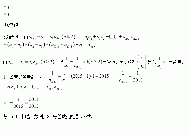
已知数列的首项,且满足,则

练习册系列答案
相关习题

科目:高中数学 来源:2014-2015学年浙江省温州市高三第二次适应性测试(二模)文科数学试卷(解析版) 题型:选择题

若实数满足不等式组,则的最小值等于( )

A. B. C. D.

查看答案和解析>>

科目:高中数学 来源:2014-2015学年浙江省衢州市高三4月教学质量检测文科数学试卷(解析版) 题型:选择题

是互不相同的空间直线,是不重合的平面,则下列命题正确的是( )

A. B.

C. D.

查看答案和解析>>

科目:高中数学 来源:2014-2015学年浙江省衢州市高三4月教学质量检测理科数学试卷(解析版) 题型:选择题

为了得到函数的图像,可以将函数的图像( )

A.向右平移 B.向右平移 C.向左平移 D.向左平移

查看答案和解析>>

科目:高中数学 来源:2014-2015学年浙江省嘉兴市高三下学期教学测试二文科数学试卷(解析版) 题型:解答题

(本题满分15分)已知抛物线焦点为F,抛物线上横坐标为的点到抛物线顶点的距离与其到准线的距离相等.

(1)求抛物线的方程;

(2)设过点的直线与抛物线交于两点,若以为直径的圆过点,求直线的方程.

查看答案和解析>>

科目:高中数学 来源:2014-2015学年浙江省嘉兴市高三下学期教学测试二文科数学试卷(解析版) 题型:填空题

已知全集,集合,则

查看答案和解析>>

科目:高中数学 来源:2014-2015学年浙江省嘉兴市高三下学期教学测试二文科数学试卷(解析版) 题型:选择题

计算:

A. B. C.4 D.6

查看答案和解析>>

科目:高中数学 来源:2014-2015学年浙江省嘉兴市高三下学期教学测试二理科数学试卷(解析版) 题型:选择题

,则

A. B. C. D.2

查看答案和解析>>

科目:高中数学 来源:2014-2015学年山东省枣庄市4月模拟考试理科数学试卷(解析版) 题型:选择题

若函数)的图象向右平移个单位后与函数的图象重合,则的值可能是

A. B.1 C.3 D.4

查看答案和解析>>

同步练习册答案