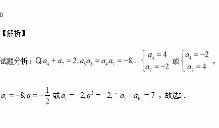
精英家教网 > 高中数学 > 题目详情

已知为等比数列,,则( )

A.7 B.5 C.-5 D.-7

练习册系列答案
相关习题

科目:高中数学 来源:2016届福建省高三上学期期中理科数学试卷(解析版) 题型:选择题

设全集,则( )

A、 B、 C、 D、

查看答案和解析>>

科目:高中数学 来源:2015-2016学年江西省高一重点上期中数学卷(解析版) 题型:填空题

若函数f(2x+1)=x2﹣2x,则f(3)=____________.

查看答案和解析>>

科目:高中数学 来源:2015-2016学年江西省高二上期中理科数学卷(解析版) 题型:选择题

给出下列几个命题:

①命题“若,则”的逆否命题为假命题;

②命题任意,都有,则”:存在,使得

③命题:存在,使得;命题:中,,则命题“”为真命题

④方程表示椭圆的充要条件是

⑤对空间任意一点O和不共线的三点A、B、C,若,则P、A、B、C四点共面.

其中不正确的个数( )

A.1 B.2 C.3 D.4

查看答案和解析>>

科目:高中数学 来源:2015-2016学年江西省高二上期中文科数学试卷(解析版) 题型:选择题

若条件,条件,且的充分不必要条件,则的取值范围是( )

A. B. C. D.

查看答案和解析>>

科目:高中数学 来源:2015-2016学年黑龙江省高一上期末数学试卷(解析版) 题型:选择题

已知实数,则函数 ( )

A.仅一个零点且位于区间

B.仅一个零点且位于区间

C.有两个零点且分别位于区间

D.有两个零点且分别位于区间

查看答案和解析>>

科目:高中数学 来源:2015-2016学年河北省高二上期中文科数学试卷(解析版) 题型:选择题

复数z满足·(1+2i)=4+3i,则z等于 ( )

A. B. C.1+2i D.

查看答案和解析>>

科目:高中数学 来源:2015-2016学年贵州省凯里市高二上期末文科数学试卷(解析版) 题型:选择题

已知集合.则命题:“若,则”的逆命题是( )

A.A若 B.若

C.若 D.若

查看答案和解析>>

科目:高中数学 来源:2016届广西河池高中高三上第五次月考文科数学试卷(解析版) 题型:选择题

函数处的切线方程是( )

A. B. C. D.

查看答案和解析>>

同步练习册答案