精英家教网 > 高中数学 > 题目详情

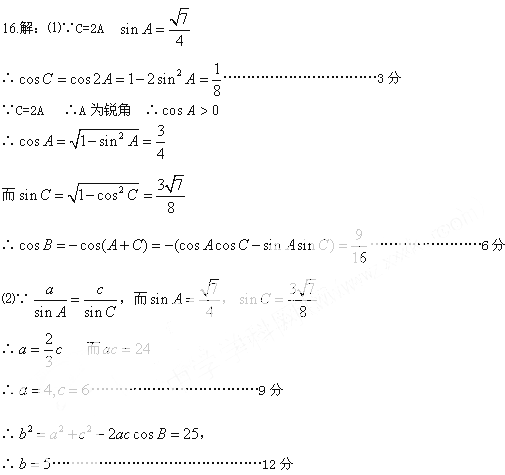
在△ABC中,a、b、c分别是角A、B、C的对边,C=2A,

(1)求的值;

(2)若,求边的长。

练习册系列答案
相关习题

科目:高中数学 来源: 题型:

在△ABC中,∠A、∠B、∠C所对的边长分别是a、b、c.满足2acosC+ccosA=b.则sinA+sinB的最大值是(  )
A、
2
2
B、1
C、
2
D、
1+
2
2

查看答案和解析>>

科目:高中数学 来源: 题型:

在△ABC中,a<b<c,B=60°,面积为10
3
cm2,周长为20cm,求此三角形的各边长.

查看答案和解析>>

科目:高中数学 来源: 题型:

在△ABC中,a,b,c分别为角A,B,C的对边,已知
.
m
=(cos
C
2
,sin
C
2
)
.
n
=(cos
C
2
,-sin
C
2
)
,且
m
n
=
1
2

(1)求角C;
(2)若a+b=
11
2
,△ABC的面积S=
3
3
2
,求边c的值.

查看答案和解析>>

科目:高中数学 来源: 题型:

在△ABC中,A,B,C为三个内角,若cotA•cotB>1,则△ABC是(  )

查看答案和解析>>

科目:高中数学 来源: 题型:

已知y=f(x)函数的图象是由y=sinx的图象经过如下三步变换得到的:
①将y=sinx的图象整体向左平移
π
6
个单位;
②将①中的图象的纵坐标不变,横坐标缩短为原来的
1
2

③将②中的图象的横坐标不变,纵坐标伸长为原来的2倍.
(1)求f(x)的周期和对称轴;
(2)在△ABC中,a,b,c分别是角A,B,C的对边,且f(C)=2,c=1,ab=2
3
,且a>b,求a,b的值.

查看答案和解析>>

同步练习册答案