精英家教网 > 高中数学 > 题目详情

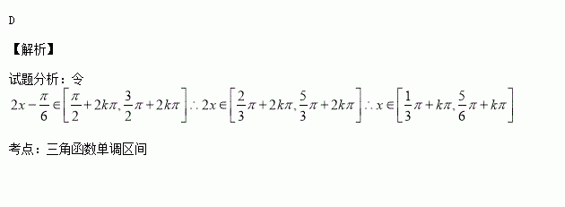
函数的单调递减区间是( )

A.

B.

C.

D.

练习册系列答案
相关习题

科目:高中数学 来源:2014-2015学年北京市丰台区高三5月统一练习二文科数学试卷(解析版) 题型:填空题

已知梯形中,边上一点,且.当中点时,x+y=;当边上运动时,x+y的最大值是 .

查看答案和解析>>

科目:高中数学 来源:2014-2015学年浙江台州书生中学高二下学期第一次月考理科数学试卷(解析版) 题型:填空题

已知是关于的方程的两个根,则= .

查看答案和解析>>

科目:高中数学 来源:2014-2015学年浙江省杭州地区七校高一下学期期中联考数学试卷(解析版) 题型:填空题

已知直角梯形ABCD中,AD∥BC,∠ADC=90°,AD=2,BC=1,P是腰DC上的动点,则|+3|的最小值为 .

查看答案和解析>>

科目:高中数学 来源:2014-2015学年浙江省杭州地区七校高一下学期期中联考数学试卷(解析版) 题型:选择题

已知,函数上单调递减,则的取值范围是( )

A. B. C. D.

查看答案和解析>>

科目:高中数学 来源:2014-2015学年云南省蒙自市高一上学期期末考试数学试卷(解析版) 题型:解答题

(本题满分12分)已知函数 是偶函数,且在区间上是增函数,

(1)试确定实数的值;

(2)先判断函数在区间上的单调性,并用定义证明你的结论;

(3)关于的不等式上恒成立,求实数的取值范围。

查看答案和解析>>

科目:高中数学 来源:2014-2015学年云南省蒙自市高一上学期期末考试数学试卷(解析版) 题型:填空题

直角坐标平面上一机器人在行进中始终保持到两点的距离相等,且机器人也始终接触不到直线,则的值是 .

查看答案和解析>>

科目:高中数学 来源:2014-2015学年云南省蒙自市高二下学期开学考试数学试卷(解析版) 题型:解答题

(本小题满分l2分)已知圆经过三点

(1)求圆的方程;

(2)求过点且被圆截得弦长为4的直线的方程.

查看答案和解析>>

科目:高中数学 来源:2014-2015学年云南省蒙自市高二上学期期末考试数学试卷(解析版) 题型:选择题

已知集合,,则=( )

A.{x|-1<x<1} B.{x |x>1} C.{x|-1≤x<1} D.{x |x≥-1}

查看答案和解析>>

同步练习册答案