精英家教网 > 高中数学 > 题目详情
(1+2x)n的展开式中第6项与第7项的系数相等,求展开式中二项式系数最大的项和系数最大的项。
解:由已知可求出n,
由n的奇偶性,可确定二项式系数最大的项,
由(1+2x)n的展开式中第6项与第7项的系数相等,
,n=8,
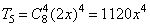
所以(1+2x)8的展开式中,
二项式系数最大的项为
设展开式的第r+1项的系数最大,
,解得5≤r≤6,
所以r=5或r=6(r∈{0,1,2,…,8}),
所以系数最大的项为T6=1792x5,T7=1792x6
练习册系列答案
相关习题

科目:高中数学 来源: 题型:

(2013•南京二模)设f(x)=(1+x)(1+2x)…(1+nx)(其中,n∈N*且n≥2),其展开后含xr项的系数记作ar(r=0,1,2,…,n).
(1)求a1(用含n的式子表示);
(2)求证:a2=
3n+2
4
C
3
n+1

查看答案和解析>>

科目:高中数学 来源: 题型:

已知(1+2
x
)n
的展开式中,某一项的系数是它前一项系数的2倍,而又等于它后一项系数的
5
6

(1)求展开后所有项的系数之和及所有项的二项式系数之和;
(2)求展开式中的有理项.

查看答案和解析>>

同步练习册答案