精英家教网 > 高中数学 > 题目详情
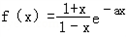
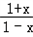
设函数
(1)写出定义域及f′(x)的解析式,
(2)设a>0,讨论函数y=f(x)的单调性.
解:(1)∵函数
∴1﹣x≠0,
∴x≠1,
∴f(x)的定义域为(﹣∞,1)∪(1,+∞),
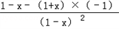
∴f′(x)=e﹣ax(﹣a)×+×e﹣ax=
(2)∵a>O,f(x)=
①当0<a≤2时,f'(x)≥0,
所以,f(x)在(﹣∞,1),(1,+∞)上为增函数    
②当a>2,由f′(x)=>0,
得ax2+2﹣a>0,解得,x>或x<﹣
此f(x)在 x>或x<﹣上为增函数;
上有f′(x)<0为减函数
∴综上①②可得:f(x)在(﹣∞,),(,1),(1,+∞)上为增函数,
上是减函数.
练习册系列答案
相关习题

科目:高中数学 来源: 题型:

设a∈R,f(x)为奇函数,f(2x)=
a•4x+a-24x+1

(1)写出函数f(x)的定义域;
(2)求a,并写出f(x)的表达式;
(3)用函数单调性定义证明:函数f(x)在定义域上是增函数.(可能用到的知识:若x1<x2,则0<2x12x2,0<4x14x2

查看答案和解析>>

科目:高中数学 来源: 题型:

已知函数f(x)=x2-2x+3(x∈R)
(1)写出函数f(x)的单调增区间,并用定义加以证明.
(2)设函数f(x)=x2-2x+3(2≤x≤3)试利用(1)的结论直接写出该函数的值域(用区间表示).

查看答案和解析>>

科目:高中数学 来源: 题型:

设f(x)是定义在(0,+∞)上的函数,对定义域内的任意x,y都满足f(xy)=f(x)+f(y),且x>1时,f(x)>0.
(1)写出一个符合要求的函数,并猜想f(x)在(0,+∞)上的单调性;
(2)若f(2)=1,解不等式f(x)+f(x-3)≤2.

查看答案和解析>>

科目:高中数学 来源: 题型:

设y=f(x)为定义在区间I上的函数,若对I上任意两个实数x1,x2都有f(
x1+x2
2
)≤
1
2
[f(x1)+f(x2)]
成立,则f(x)称为I上的凹函数.
(1)判断f(x)=
3
x
(x>0)
是否为凹函数?
(2)已知函数f2(x)=x|ax-3|(a≠0)为区间[3,6]上的凹函数,请直接写出实数a的取值范围(不要求写出解题过程);
(3)设定义在R上的函数f3(x)满足对于任意实数x,y都有f3(x+y)=f3(x)•f3(y).求证:f3(x)为R上的凹函数.

查看答案和解析>>

科目:高中数学 来源:2014届广东省实验学校高一上学期期中数学试卷(解析版) 题型:解答题

设f(x)为定义在R上的偶函数,当时,y=x;当x>2时,y=f(x)的图像时顶点在P(3,4),且过点A.(2,2)的抛物线的一部分

(1)      写出函数f(x)在上的解析式;

(2)      在下面的直角坐标系中直接画出函数f(x)的图像;

(3)      写出函数f(x)值域

 

查看答案和解析>>

同步练习册答案