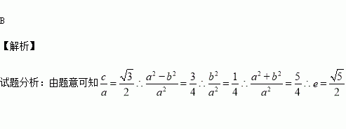
精英家教网 > 高中数学 > 题目详情

若椭圆的离心率是,则双曲线的离心率是( )

A. B. C. D.

练习册系列答案
相关习题

科目:高中数学 来源:2016届江西省新余市高三第四次模拟文科数学试卷(解析版) 题型:解答题

中,角的对边分别为且满足

(1)求角的大小;

(2)若的面积为,求的值.

查看答案和解析>>

科目:高中数学 来源:2015-2016学年江苏省沭阳县高二上学期期中考试数学试卷(解析版) 题型:解答题

已知,命题,命题

(1)若命题为真命题,求实数的取值范围;

(2)若命题为真命题,求实数的取值范围;

(3)若命题“”为真命题,且命题“”为假命题,求实数的取值范围.

查看答案和解析>>

科目:高中数学 来源:2015-2016学年广西钦州港经济技术开发区中学高一上期中数学试卷(解析版) 题型:选择题

设奇函数f(x)在(0,+∞)上为增函数,且f(1)=0,则不等式<0的解集为( )

A.(﹣1,0)∪(1,+∞)

B.(﹣∞,﹣1)∪(0,1)

C.(﹣1, 0)∪(0,1)

D.(﹣∞,﹣1)∪(1,+∞)

查看答案和解析>>

科目:高中数学 来源:2015-2016学年广东省汕头市高一上学期期中考试数学试卷(解析版) 题型:选择题

下列函数是偶函数的是:( )

A. B. C. D.

查看答案和解析>>

科目:高中数学 来源:2015-2016年湖北武汉华中师大一附高二上期中文科数学卷(解析版) 题型:选择题

过点(3,1)作一直线与圆相交于M、N两点,则的最小值为( )

A. B.2 C.4 D.6

查看答案和解析>>

科目:高中数学 来源:2016上海复旦大学附中届高三上期中文科数学试卷(解析版) 题型:填空题

满足等式的复数

查看答案和解析>>

科目:高中数学 来源:2016届河北省高三上学期四调理科数学试卷(解析版) 题型:选择题

函数)的大致图象是( )

A. B. C. D.

查看答案和解析>>

科目:高中数学 来源:2016届湖南省株洲市高三上学期期中理科数学试卷(解析版) 题型:解答题

如图,A,B,C,D四点在同一圆上,AD的延长线与BC的延长线交于E点,且EC=ED.

(1)证明:CD∥AB;

(2)延长CD到F,延长DC到G,使得EF=EG,证明:A,B,G,F四点共圆.

查看答案和解析>>

同步练习册答案