精英家教网 > 高中数学 > 题目详情

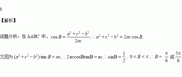
中,角的对边分别为,若,则角的值是( )

A. B. C. D.

练习册系列答案
相关习题

科目:高中数学 来源:2015-2016学年福建省师大附高二上期中理科数学试卷(解析版) 题型:选择题

已知实数满足不等式组,若目标函数取得最大值时的唯一最优解是(1,3),则实数的取值范围为( )

A. B. C. D.

查看答案和解析>>

科目:高中数学 来源:2015-2016学年广东省英德市高二上学期第一次月考理科数学试卷(解析版) 题型:解答题

写出满足下列条件的椭圆的标准方程:(本小题满分10分)

(1)长轴长与短轴长的和为18,焦距为6且焦点在轴上

(2) 已知椭圆的中心在原点,且过点

查看答案和解析>>

科目:高中数学 来源:2014-2015学年浙江省等三校高二上学期期中考试数学试卷(解析版) 题型:填空题

不等式-6x2-x+2≤0的解集是____________.

查看答案和解析>>

科目:高中数学 来源:2014-2015学年上海市高一下学期期末考试数学试卷(解析版) 题型:填空题

执行右边的程序框图,若,则输出的

查看答案和解析>>

科目:高中数学 来源:2015-2016学年浙江省平湖市高一10月月考数学试卷(解析版) 题型:选择题

函数是定义在R上偶函数,当时,单调递减.则下列各式成立的是( )

A. B. C. D.

查看答案和解析>>

科目:高中数学 来源:2015-2016学年四川省高一上学期第一学月考数学试卷(解析版) 题型:选择题

函数的定义域为( )

A.[1,2)∪(2,+∞) B.(1,+∞)

C.[1,2) D.[1,+∞)

查看答案和解析>>

科目:高中数学 来源:2015-2016学年江苏省泰州市姜堰区高一上学期期中考试数学试卷(解析版) 题型:解答题

(本题满分16分)已知函数若函数有两个不同的零点,函数有两个不同的零点

(1)若,求的值;

(2)求的最小值.

查看答案和解析>>

科目:高中数学 来源:2016届湖南省常德市高三上第五次月考理科数学试卷(解析版) 题型:解答题

已知二次函数的图像经过坐标原点,其导函数为,数列的前n项和为,点 均在函数的图像上.

(I)求数列的通项公式;

(II)设 是数列的前n项和,求使得对所有 都成立的最小正整数

查看答案和解析>>

同步练习册答案